🇳🇴 🇬🇧 🇩🇪 🇨🇿 🇫🇮

Meteor Kilin yllä 2024-11-18 00:14:55 UTC

KML-tiedosto  |  Interaktiivinen kartta

Kartta näyttää meteorin suuntahavainnot. Vaaleammat viivat näyttävät suunnat havaintoasemilta meteorin ilmestyessä, ja tummemmat viivat näyttävät, missä se viimeksi nähtiin. Sininen nuoli näyttää meteorin näkyvän lennon.

static map
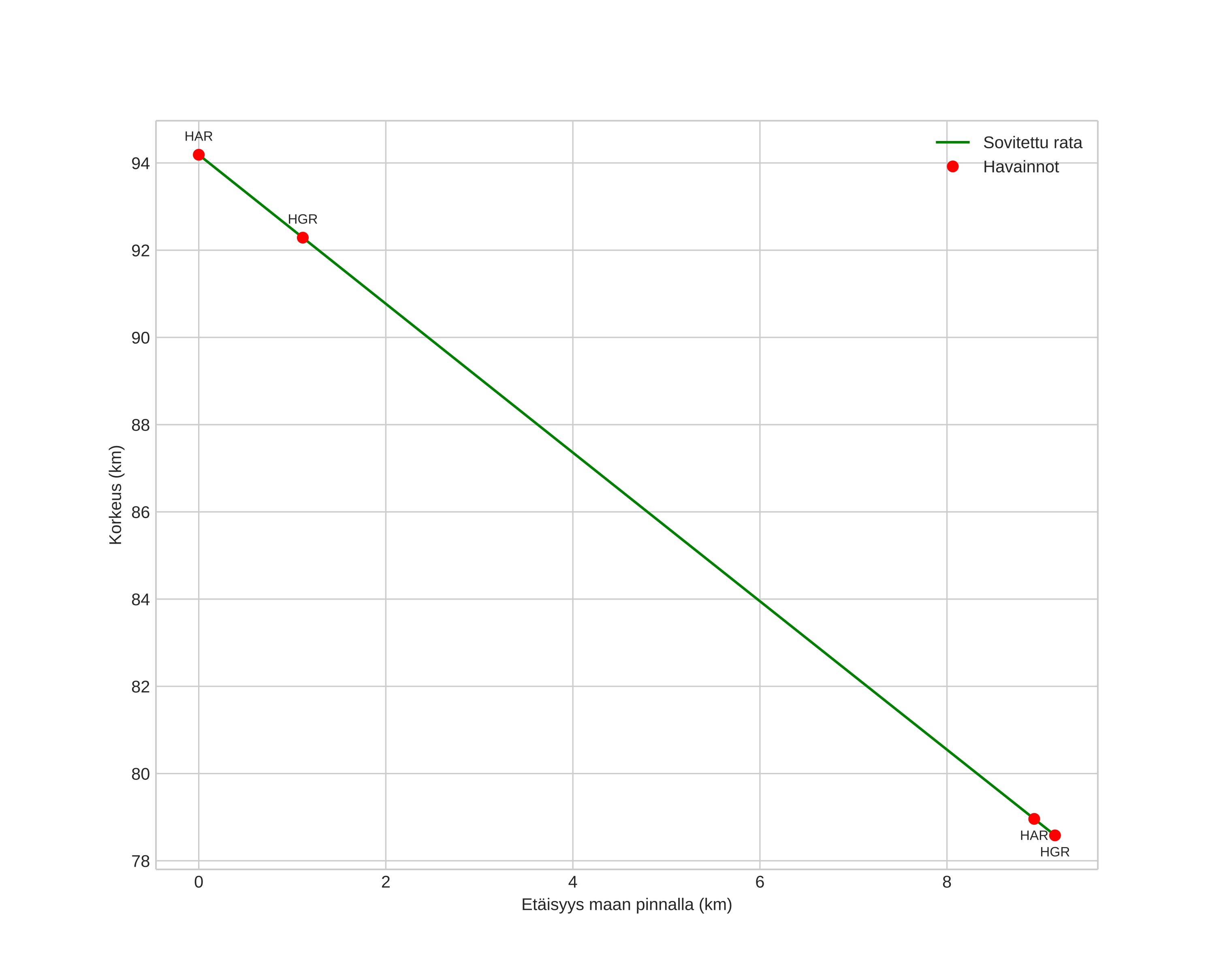
height profile
Meteorin ilmakehärata:
Alkukorkeus: 92,7 km
Loppukorkeus: 77,5 km
Alkupiste: 59,472N 13,236E
Loppupiste: 59,536N 13,303E
Suunta: 28,2°
Kallistuskulma: 62,1°
Tulonopeus: 19,6 km/s
Radiantin R,A,: 03:47 (57,0°)
Radiantin Dekl,: 30,6°
Meteoriparvi: Sporadinen
Meteoroidin rataelementit:
Perihelietäisyys: 0,593 AU
Eksentrisyys: 0,527
Inklinaatio: 5,9°
Nousevan solmun pituus: 235,8°
Perihelin argumentti: 279,2°
Keskianomalia: 321,3°
Epookki: 2024 NOV 18 00:14:55
orbit plot

Ei-interaktiivinen kuvaaja | Interaktiivinen kuvaaja

position vs time
speed and acceleration