🇳🇴 🇬🇧 🇩🇪 🇨🇿 🇫🇮

Meteor, poloha: Ă…re 2024-11-18 00:18:53 UTC

Soubor KML  |  InteraktivnĂ­ mapa

Mapa zobrazuje dráhy meteoru. Světlejší čáry ukazují směry od pozorovacích stanic při objevení se meteoru a tmavší čáry, kde byl naposledy viděn. Modrá šipka značí viditelnou dráhu meteoru.

static map
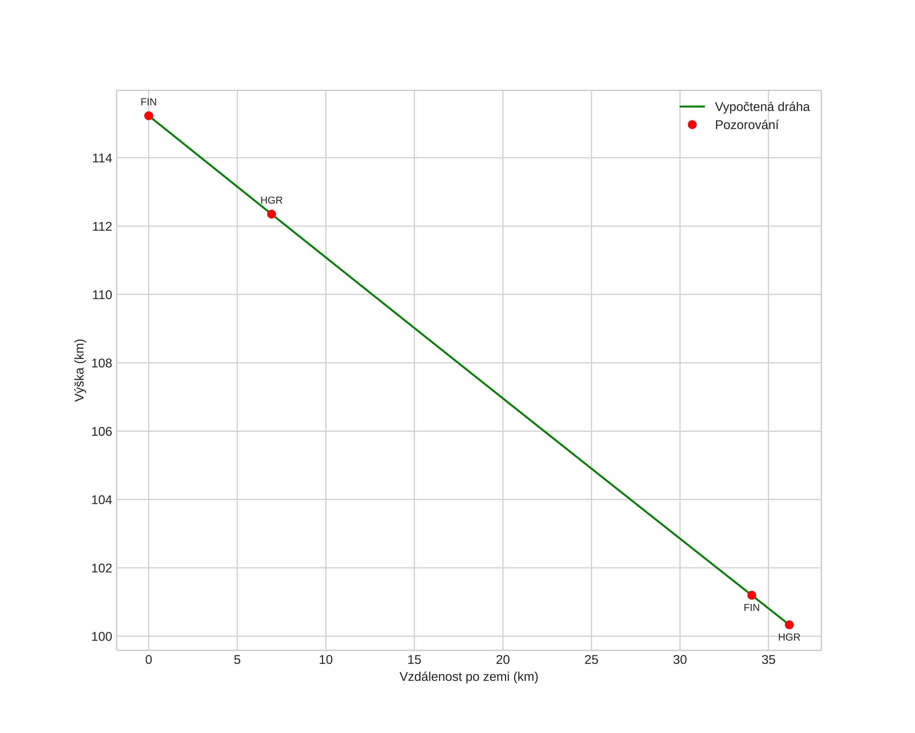
height profile
Atmosférická dráha meteoru:
Počáteční výška: 115,2 km
Konečná výška: 100,3 km
Počáteční poloha: 62,915N 13,855E
Konečná poloha: 62,943N 13,143E
Směr: 275,3°
Sklon: 22,4°
VstupnĂ­ rychlost: 64,9 km/s
Rektascenze radiantu: 10:02 (150,7°)
Deklinace radiantu: 17,1°
MeteorickĂ˝ roj: Leonidy
Elementy dráhy meteoroidu:
Vzdálenost v periheliu: 0,987 AU
Excentricita: 0,276
Sklon dráhy: 170,9°
Délka vzestupného uzlu: 235,8°
Argument perihelia: 174,3°
Střední anomálie: 3,1°
Epocha: 2024 NOV 18 00:18:53
orbit plot

NeinteraktivnĂ­ graf | InteraktivnĂ­ graf

position vs time
speed and acceleration