🇳🇴 🇬🇧 🇩🇪 🇨🇿 🇫🇮

Meteor Åren yllä 2024-11-18 00:18:53 UTC

KML-tiedosto  |  Interaktiivinen kartta

Kartta näyttää meteorin suuntahavainnot. Vaaleammat viivat näyttävät suunnat havaintoasemilta meteorin ilmestyessä, ja tummemmat viivat näyttävät, missä se viimeksi nähtiin. Sininen nuoli näyttää meteorin näkyvän lennon.

static map
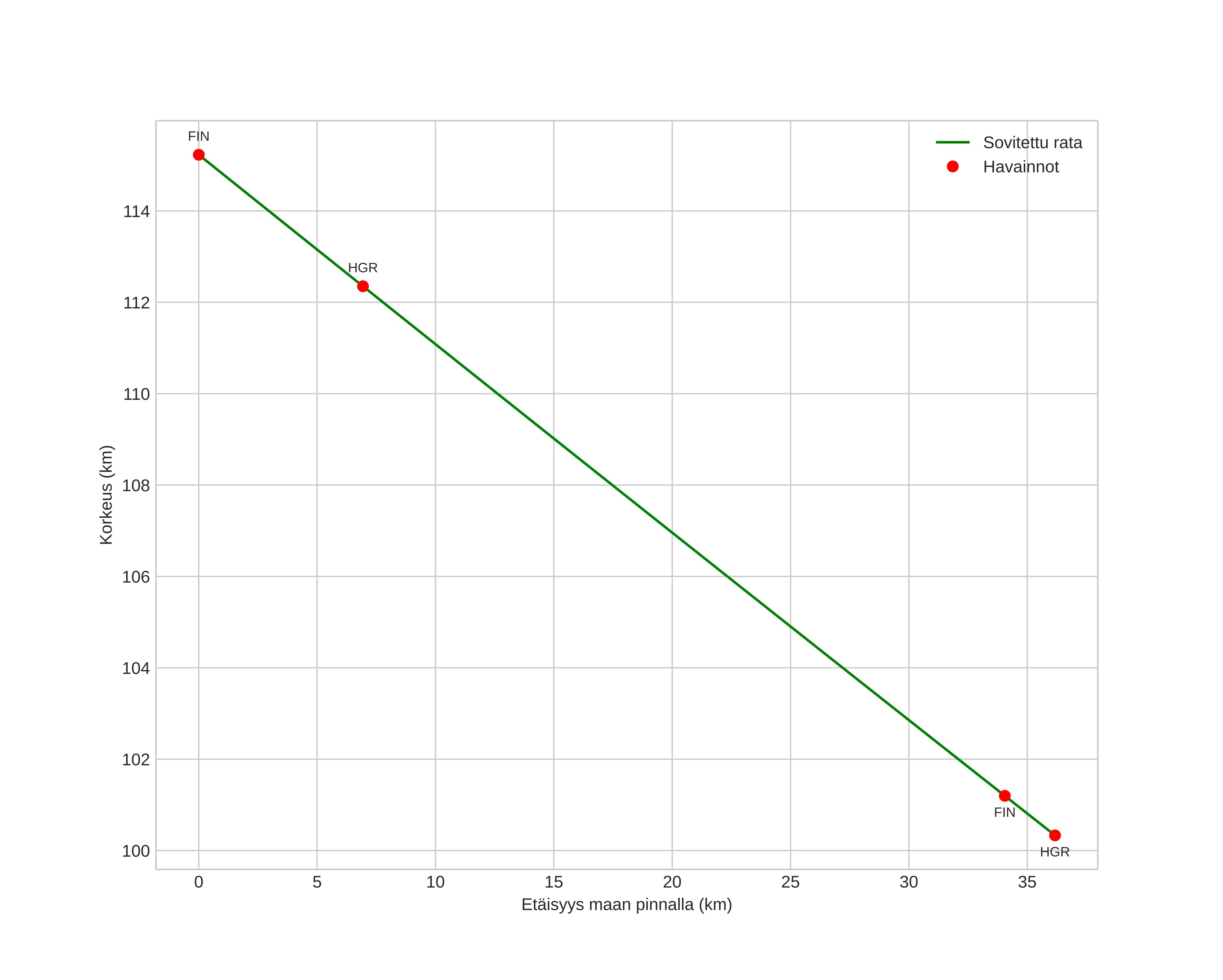
height profile
Meteorin ilmakehärata:
Alkukorkeus: 115,2 km
Loppukorkeus: 100,3 km
Alkupiste: 62,915N 13,855E
Loppupiste: 62,943N 13,143E
Suunta: 275,3°
Kallistuskulma: 22,4°
Tulonopeus: 64,9 km/s
Radiantin R,A,: 10:02 (150,7°)
Radiantin Dekl,: 17,1°
Meteoriparvi: Leonidit
Meteoroidin rataelementit:
Perihelietäisyys: 0,987 AU
Eksentrisyys: 0,276
Inklinaatio: 170,9°
Nousevan solmun pituus: 235,8°
Perihelin argumentti: 174,3°
Keskianomalia: 3,1°
Epookki: 2024 NOV 18 00:18:53
orbit plot

Ei-interaktiivinen kuvaaja | Interaktiivinen kuvaaja

position vs time
speed and acceleration