🇳🇴 🇬🇧 🇩🇪 🇨🇿 🇫🇮

Meteor, poloha: Løten 2024-11-18 00:19:07 UTC

Soubor KML  |  InteraktivnĂ­ mapa

Mapa zobrazuje dráhy meteoru. Světlejší čáry ukazují směry od pozorovacích stanic při objevení se meteoru a tmavší čáry, kde byl naposledy viděn. Modrá šipka značí viditelnou dráhu meteoru.

static map
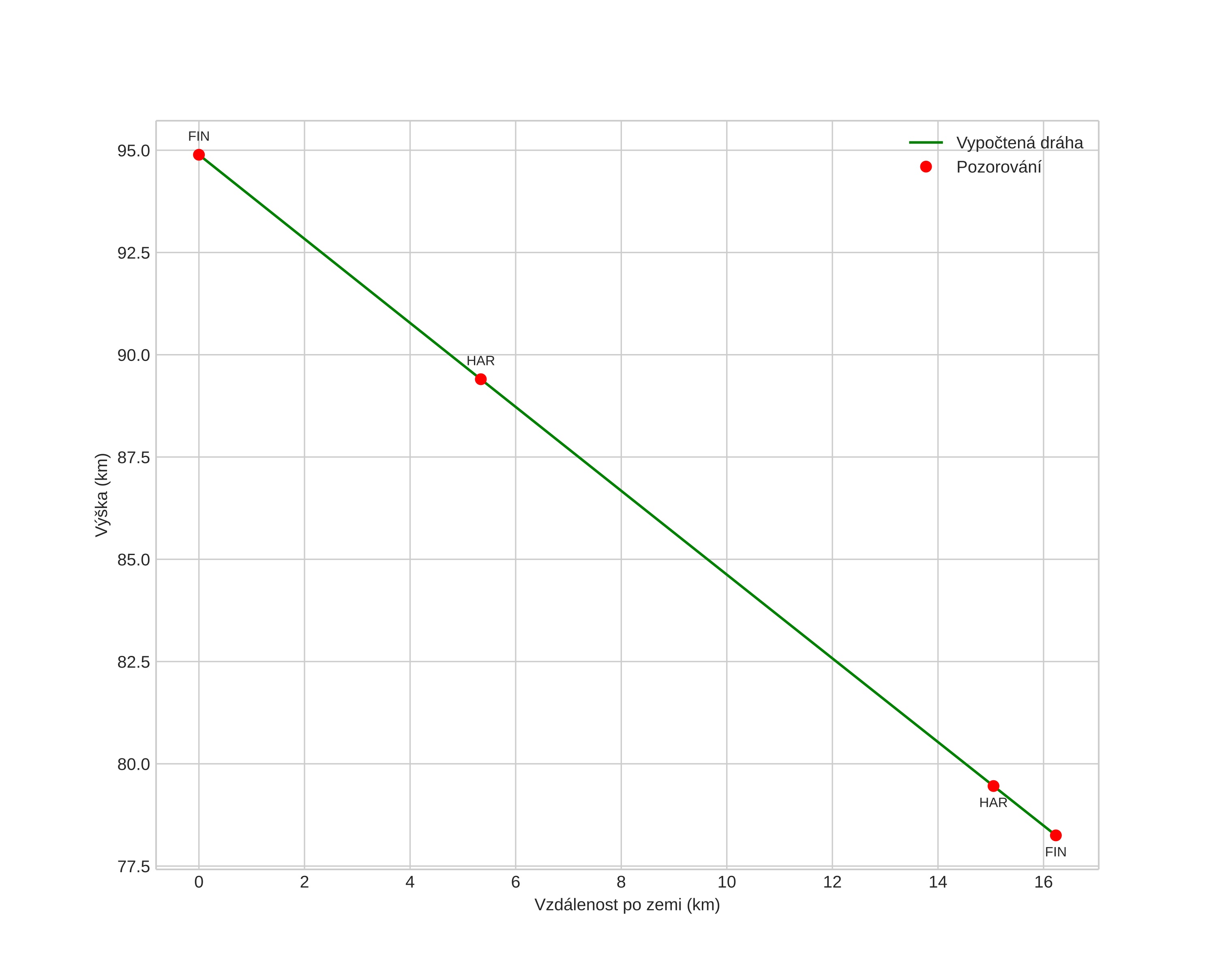
height profile
Atmosférická dráha meteoru:
Počáteční výška: 92,1 km
Konečná výška: 78,6 km
Počáteční poloha: 60,484N 11,324E
Konečná poloha: 60,599N 11,389E
Směr: 15,5°
Sklon: 45,5°
VstupnĂ­ rychlost: 27,3 km/s
Rektascenze radiantu: 04:04 (61,2°)
Deklinace radiantu: 14,5°
MeteorickĂ˝ roj: JiĹľnĂ­ Tauridy
Elementy dráhy meteoroidu:
Vzdálenost v periheliu: 0,469 AU
Excentricita: 0,786
Sklon dráhy: 5,6°
Délka vzestupného uzlu: 55,8°
Argument perihelia: 101,2°
Střední anomálie: 346,6°
Epocha: 2024 NOV 18 00:19:07
orbit plot

NeinteraktivnĂ­ graf | InteraktivnĂ­ graf

position vs time
speed and acceleration