🇳🇴 🇬🇧 🇩🇪 🇨🇿 🇫🇮

Meteor Løtenin yllä 2024-11-18 00:19:07 UTC

KML-tiedosto  |  Interaktiivinen kartta

Kartta näyttää meteorin suuntahavainnot. Vaaleammat viivat näyttävät suunnat havaintoasemilta meteorin ilmestyessä, ja tummemmat viivat näyttävät, missä se viimeksi nähtiin. Sininen nuoli näyttää meteorin näkyvän lennon.

static map
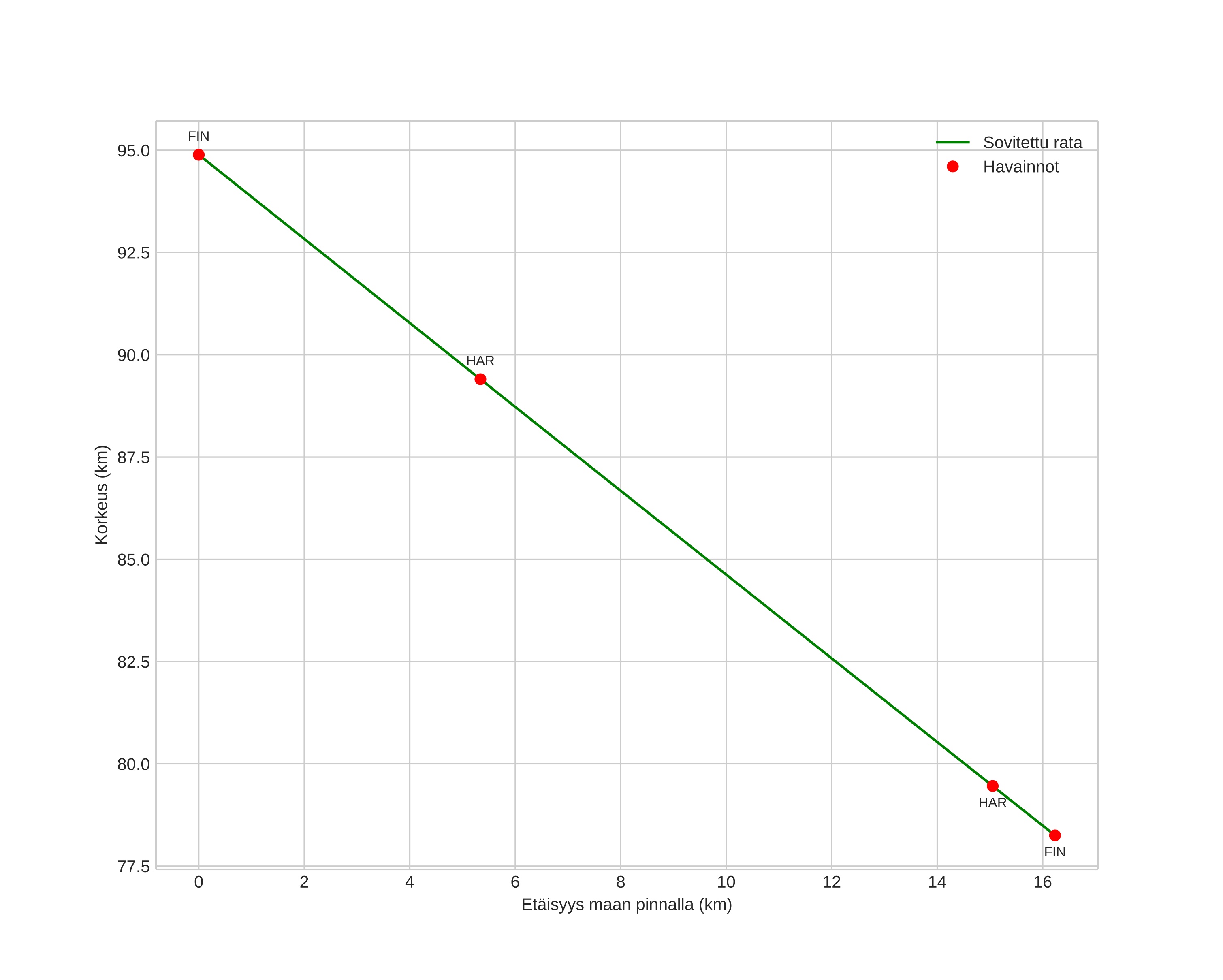
height profile
Meteorin ilmakehärata:
Alkukorkeus: 92,1 km
Loppukorkeus: 78,6 km
Alkupiste: 60,484N 11,324E
Loppupiste: 60,599N 11,389E
Suunta: 15,5°
Kallistuskulma: 45,5°
Tulonopeus: 27,3 km/s
Radiantin R,A,: 04:04 (61,2°)
Radiantin Dekl,: 14,5°
Meteoriparvi: Eteläiset tauridit
Meteoroidin rataelementit:
Perihelietäisyys: 0,469 AU
Eksentrisyys: 0,786
Inklinaatio: 5,6°
Nousevan solmun pituus: 55,8°
Perihelin argumentti: 101,2°
Keskianomalia: 346,6°
Epookki: 2024 NOV 18 00:19:07
orbit plot

Ei-interaktiivinen kuvaaja | Interaktiivinen kuvaaja

position vs time
speed and acceleration