🇳🇴 🇬🇧 🇩🇪 🇨🇿 🇫🇮

Meteor, poloha: Øystese 2024-11-18 00:43:54 UTC

Soubor KML  |  Interaktivní mapa

Mapa zobrazuje dráhy meteoru. Světlejší čáry ukazují směry od pozorovacích stanic při objevení se meteoru a tmavší čáry, kde byl naposledy viděn. Modrá šipka značí viditelnou dráhu meteoru.

static map
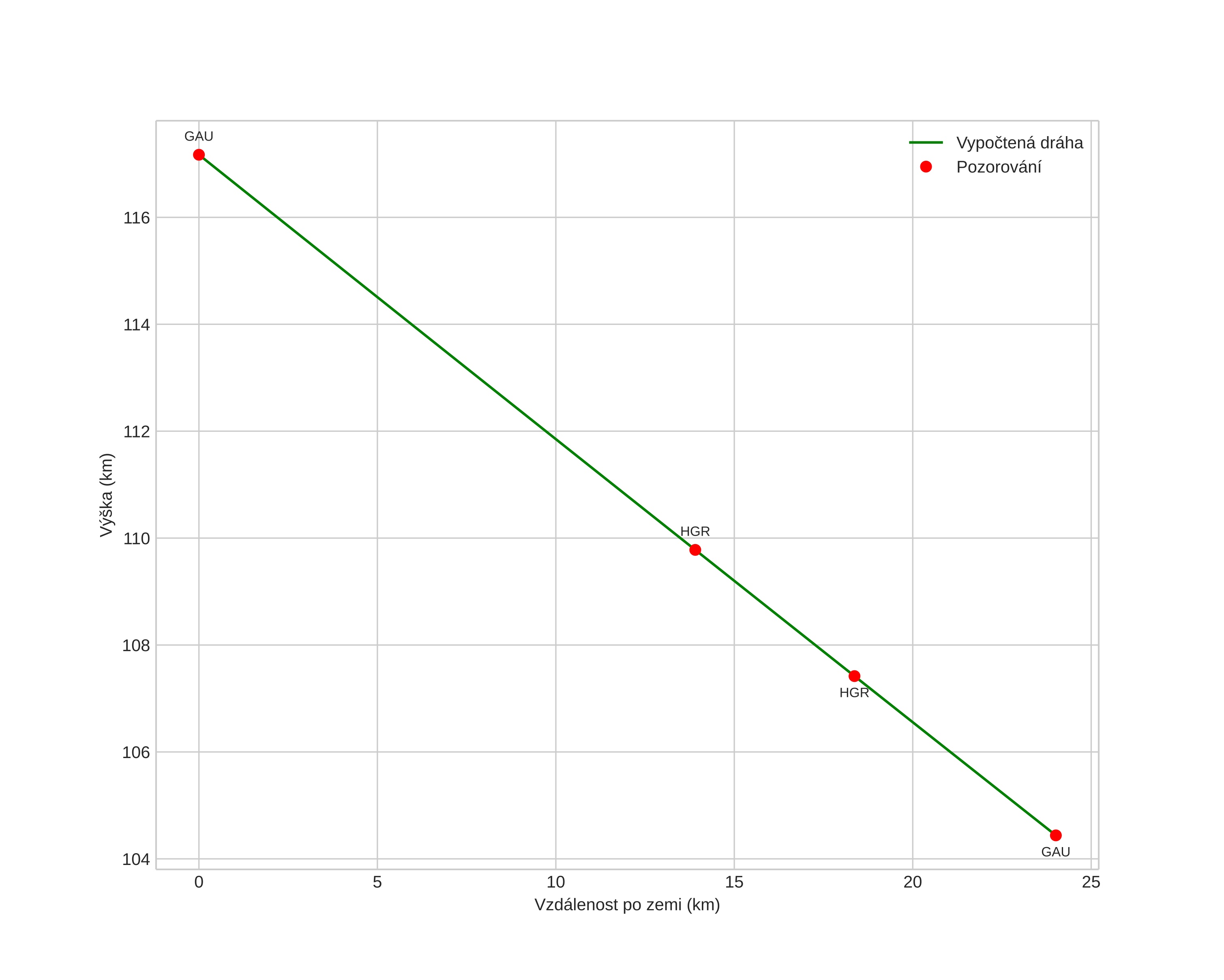
height profile
Atmosférická dráha meteoru:
Počáteční výška: 118,5 km
Konečná výška: 104,9 km
Počáteční poloha: 60,511N 6,737E
Konečná poloha: 60,486N 6,258E
Směr: 264,0°
Sklon: 27,3°
Vstupní rychlost: 73,0 km/s
Rektascenze radiantu: 10:22 (155,7°)
Deklinace radiantu: 26,2°
Meteorický roj: Leonidy
Elementy dráhy meteoroidu:
Vzdálenost v periheliu: 0,986 AU
Excentricita: 1,115
Sklon dráhy: 154,7°
Délka vzestupného uzlu: 235,8°
Argument perihelia: 174,8°
Střední anomálie: 0,1°
Epocha: 2024 NOV 18 00:43:54
orbit plot

Neinteraktivní graf | Interaktivní graf

position vs time
speed and acceleration