🇳🇴 🇬🇧 🇩🇪 🇨🇿 🇫🇮

Meteor Øystesen yllä 2024-11-18 00:43:54 UTC

KML-tiedosto  |  Interaktiivinen kartta

Kartta näyttää meteorin suuntahavainnot. Vaaleammat viivat näyttävät suunnat havaintoasemilta meteorin ilmestyessä, ja tummemmat viivat näyttävät, missä se viimeksi nähtiin. Sininen nuoli näyttää meteorin näkyvän lennon.

static map
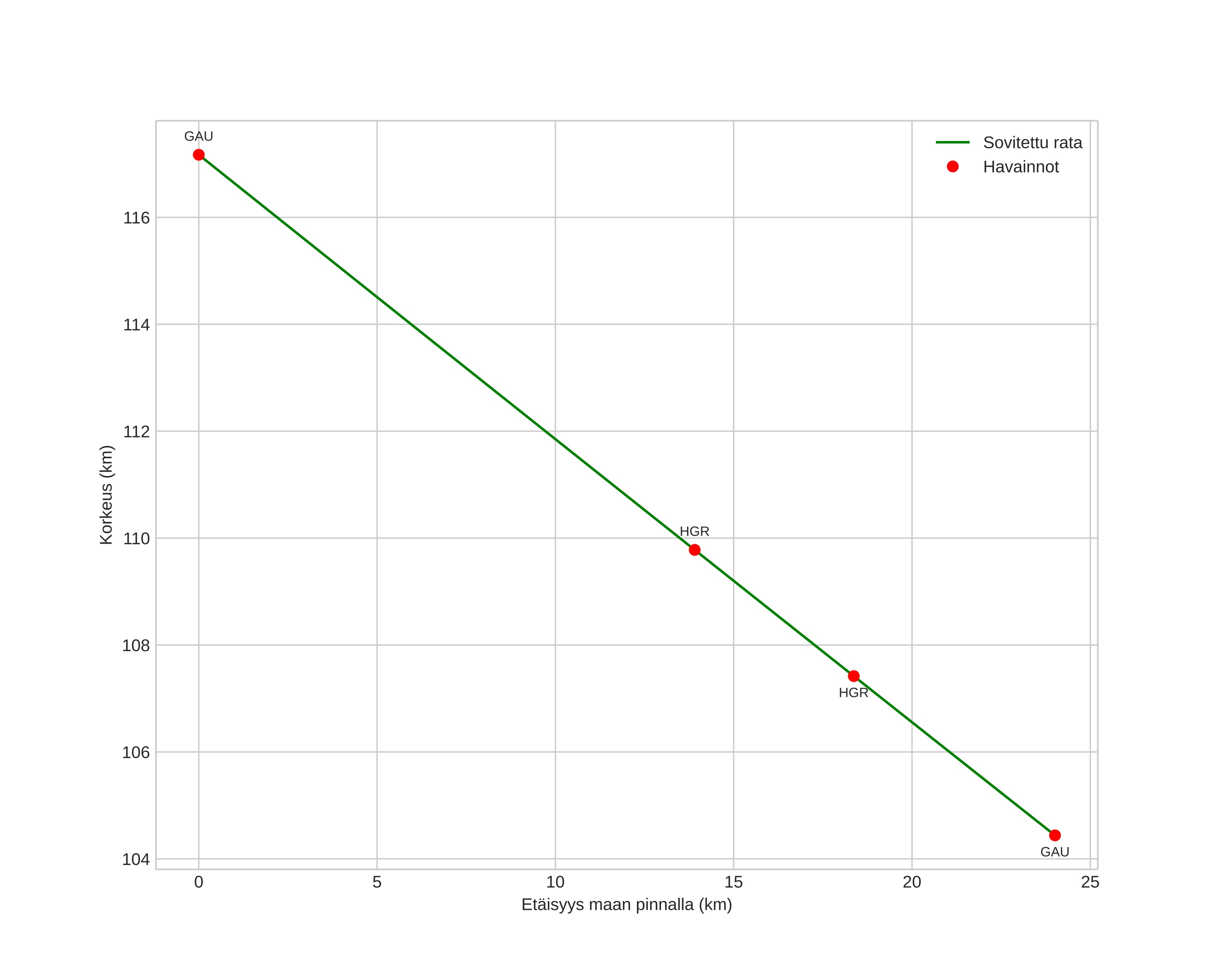
height profile
Meteorin ilmakehärata:
Alkukorkeus: 118,5 km
Loppukorkeus: 104,9 km
Alkupiste: 60,511N 6,737E
Loppupiste: 60,486N 6,258E
Suunta: 264,0°
Kallistuskulma: 27,3°
Tulonopeus: 73,0 km/s
Radiantin R,A,: 10:22 (155,7°)
Radiantin Dekl,: 26,2°
Meteoriparvi: Leonidit
Meteoroidin rataelementit:
Perihelietäisyys: 0,986 AU
Eksentrisyys: 1,115
Inklinaatio: 154,7°
Nousevan solmun pituus: 235,8°
Perihelin argumentti: 174,8°
Keskianomalia: 0,1°
Epookki: 2024 NOV 18 00:43:54
orbit plot

Ei-interaktiivinen kuvaaja | Interaktiivinen kuvaaja

position vs time
speed and acceleration