🇳🇴 🇬🇧 🇩🇪 🇨🇿 🇫🇮

Meteor, poloha: Sand 2024-11-18 01:57:05 UTC

Soubor KML  |  InteraktivnĂ­ mapa

Mapa zobrazuje dráhy meteoru. Světlejší čáry ukazují směry od pozorovacích stanic při objevení se meteoru a tmavší čáry, kde byl naposledy viděn. Modrá šipka značí viditelnou dráhu meteoru.

static map
height profile
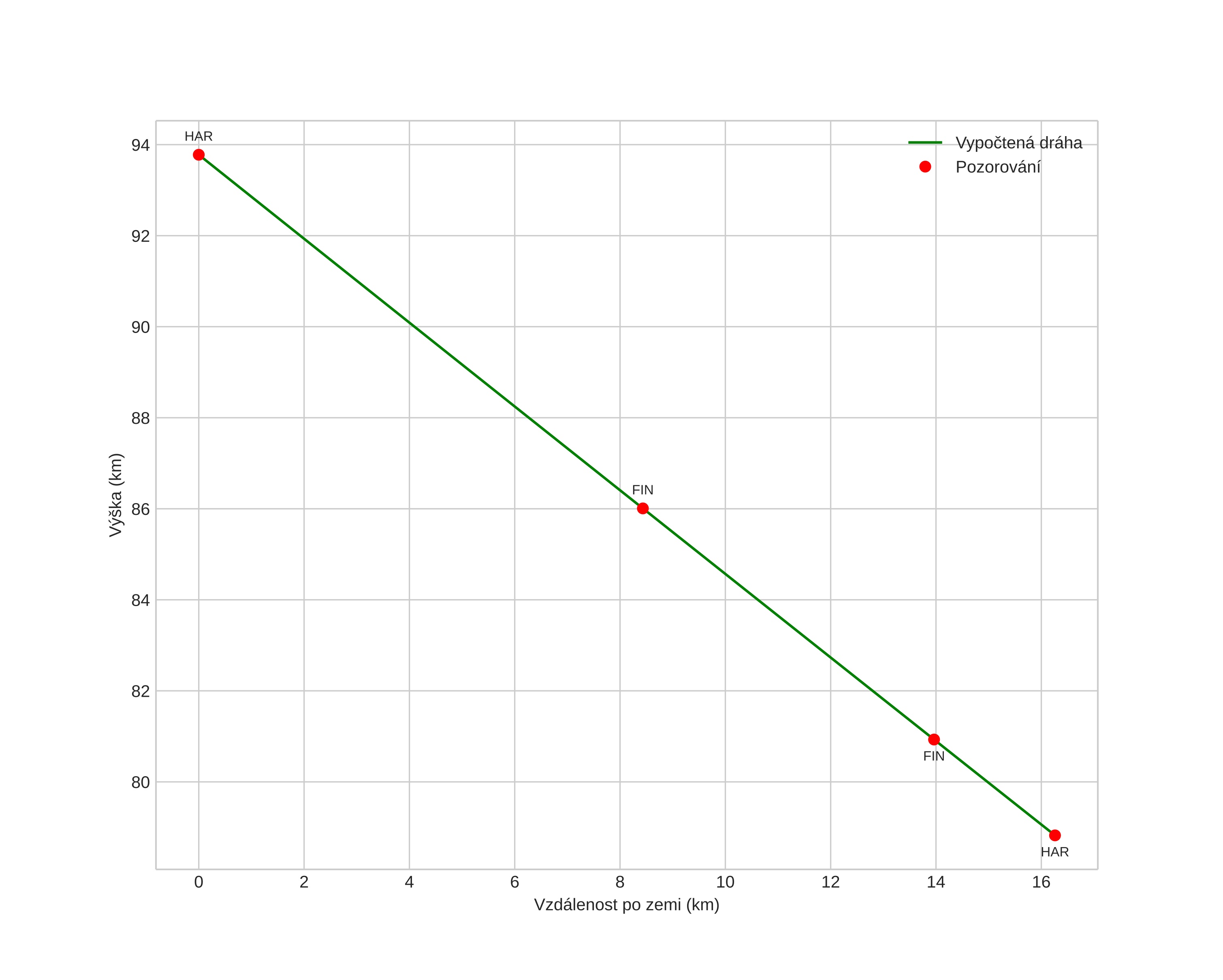
Atmosférická dráha meteoru:
Počáteční výška: 95,5 km
Konečná výška: 78,6 km
Počáteční poloha: 60,717N 11,578E
Konečná poloha: 60,560N 11,496E
Směr: 194,3°
Sklon: 43,2°
VstupnĂ­ rychlost: 31,7 km/s
Rektascenze radiantu: 16:32 (248,2°)
Deklinace radiantu: 69,3°
MeteorickĂ˝ roj: sporadickĂ˝
Elementy dráhy meteoroidu:
Vzdálenost v periheliu: 0,988 AU
Excentricita: 0,695
Sklon dráhy: 48,7°
Délka vzestupného uzlu: 235,9°
Argument perihelia: 179,6°
Střední anomálie: 0,0°
Epocha: 2024 NOV 18 01:57:05
orbit plot

NeinteraktivnĂ­ graf | InteraktivnĂ­ graf

position vs time
speed and acceleration