🇳🇴 🇬🇧 🇩🇪 🇨🇿 🇫🇮

Meteor Sandin yllä 2024-11-18 01:57:05 UTC

KML-tiedosto  |  Interaktiivinen kartta

Kartta näyttää meteorin suuntahavainnot. Vaaleammat viivat näyttävät suunnat havaintoasemilta meteorin ilmestyessä, ja tummemmat viivat näyttävät, missä se viimeksi nähtiin. Sininen nuoli näyttää meteorin näkyvän lennon.

static map
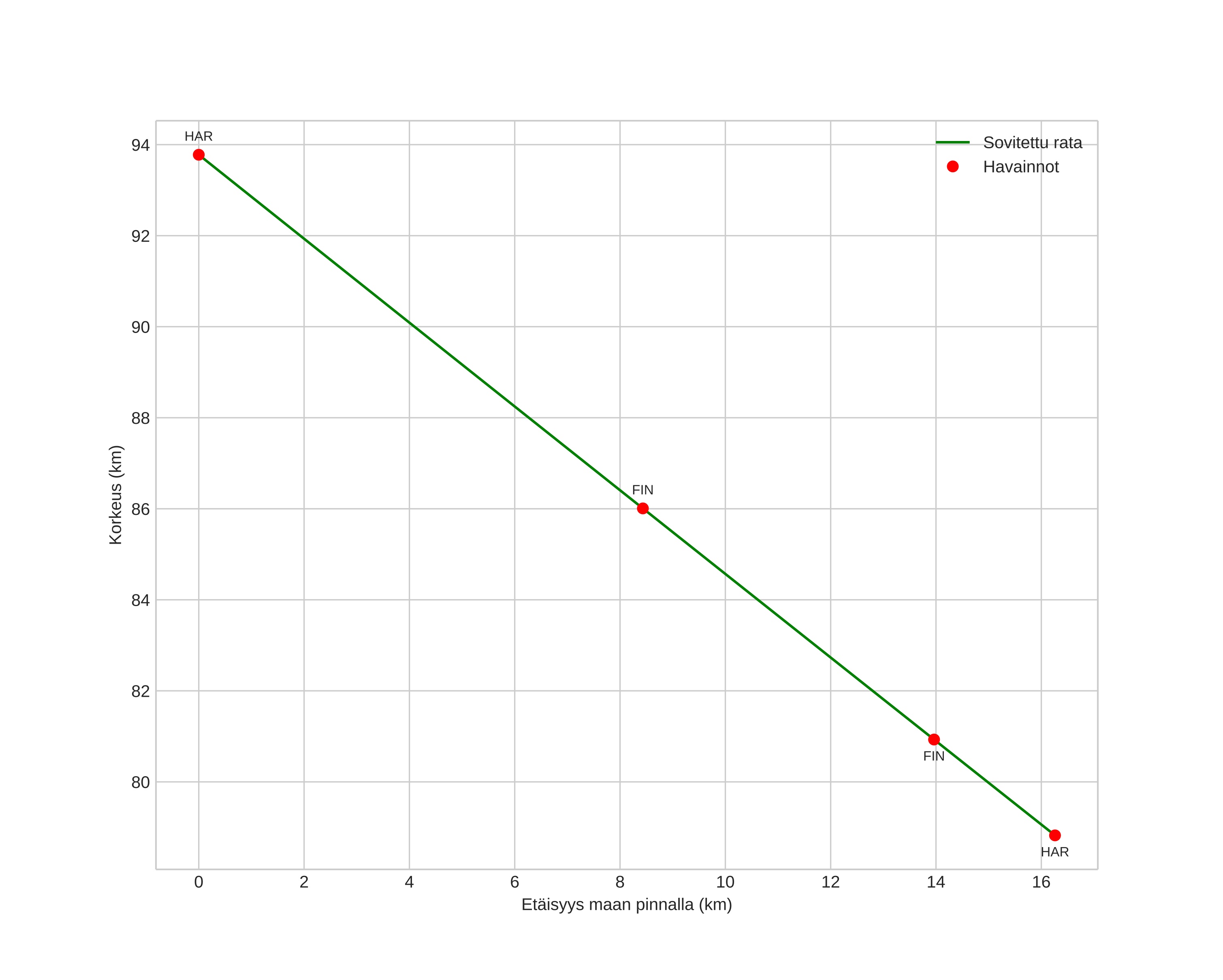
height profile
Meteorin ilmakehärata:
Alkukorkeus: 95,5 km
Loppukorkeus: 78,6 km
Alkupiste: 60,717N 11,578E
Loppupiste: 60,560N 11,496E
Suunta: 194,3°
Kallistuskulma: 43,2°
Tulonopeus: 31,7 km/s
Radiantin R,A,: 16:32 (248,2°)
Radiantin Dekl,: 69,3°
Meteoriparvi: Sporadinen
Meteoroidin rataelementit:
Perihelietäisyys: 0,988 AU
Eksentrisyys: 0,695
Inklinaatio: 48,7°
Nousevan solmun pituus: 235,9°
Perihelin argumentti: 179,6°
Keskianomalia: 0,0°
Epookki: 2024 NOV 18 01:57:05
orbit plot

Ei-interaktiivinen kuvaaja | Interaktiivinen kuvaaja

position vs time
speed and acceleration