🇳🇴 🇬🇧 🇩🇪 🇨🇿 🇫🇮

Meteor, poloha: Innbygda 2024-11-18 03:10:48 UTC

Soubor KML  |  InteraktivnĂ­ mapa

Mapa zobrazuje dráhy meteoru. Světlejší čáry ukazují směry od pozorovacích stanic při objevení se meteoru a tmavší čáry, kde byl naposledy viděn. Modrá šipka značí viditelnou dráhu meteoru.

static map
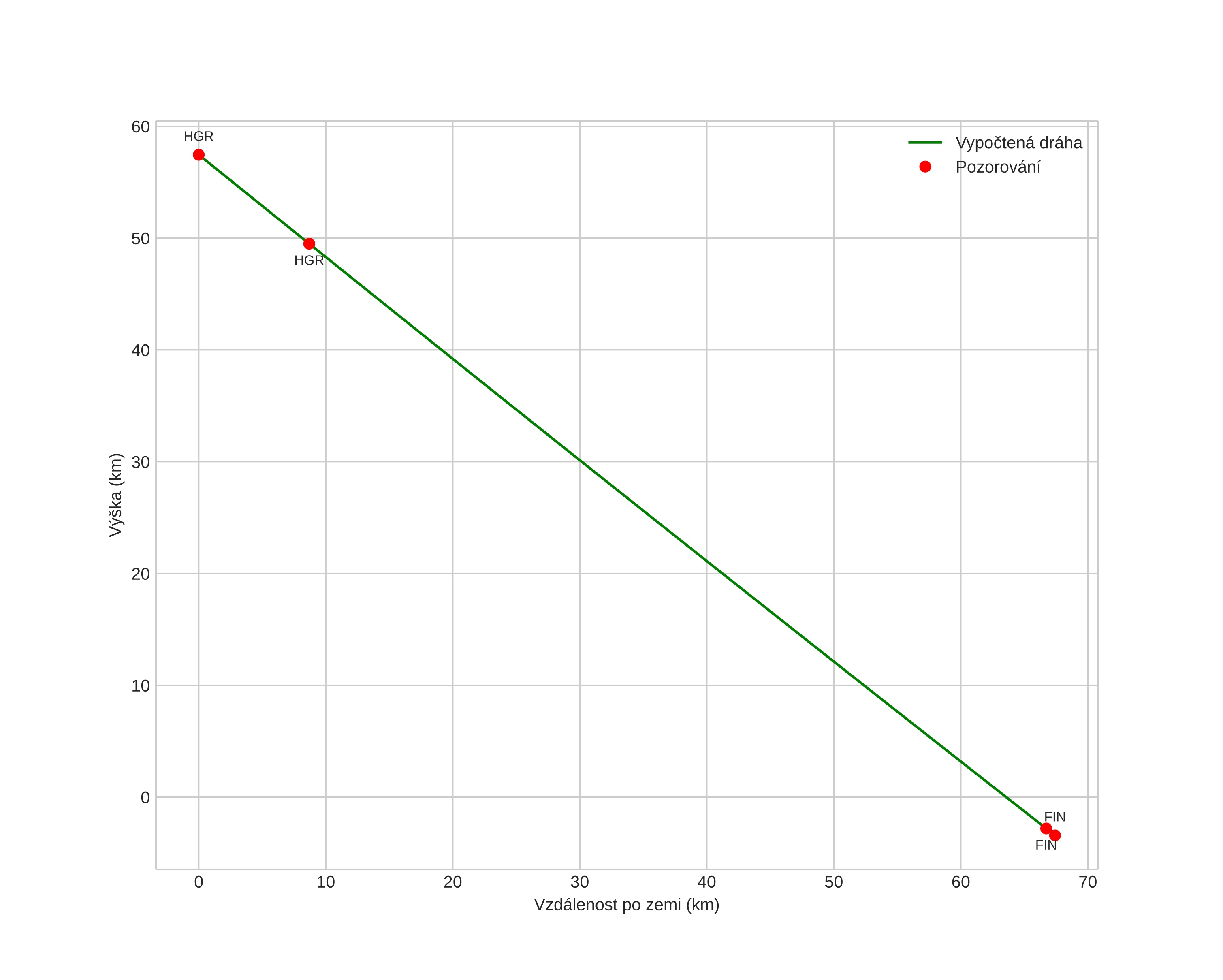
height profile
Atmosférická dráha meteoru:
Počáteční výška: 55,5 km
Konečná výška: -2,6 km
Počáteční poloha: 60,599N 13,467E
Konečná poloha: 61,012N 12,585E
Směr: 314,2°
Sklon: 41,2°
orbit plot
position vs time
speed and acceleration