🇳🇴 🇬🇧 🇩🇪 🇨🇿 🇫🇮

Meteor Innbygdan yllä 2024-11-18 03:10:48 UTC

KML-tiedosto  |  Interaktiivinen kartta

Kartta näyttää meteorin suuntahavainnot. Vaaleammat viivat näyttävät suunnat havaintoasemilta meteorin ilmestyessä, ja tummemmat viivat näyttävät, missä se viimeksi nähtiin. Sininen nuoli näyttää meteorin näkyvän lennon.

static map
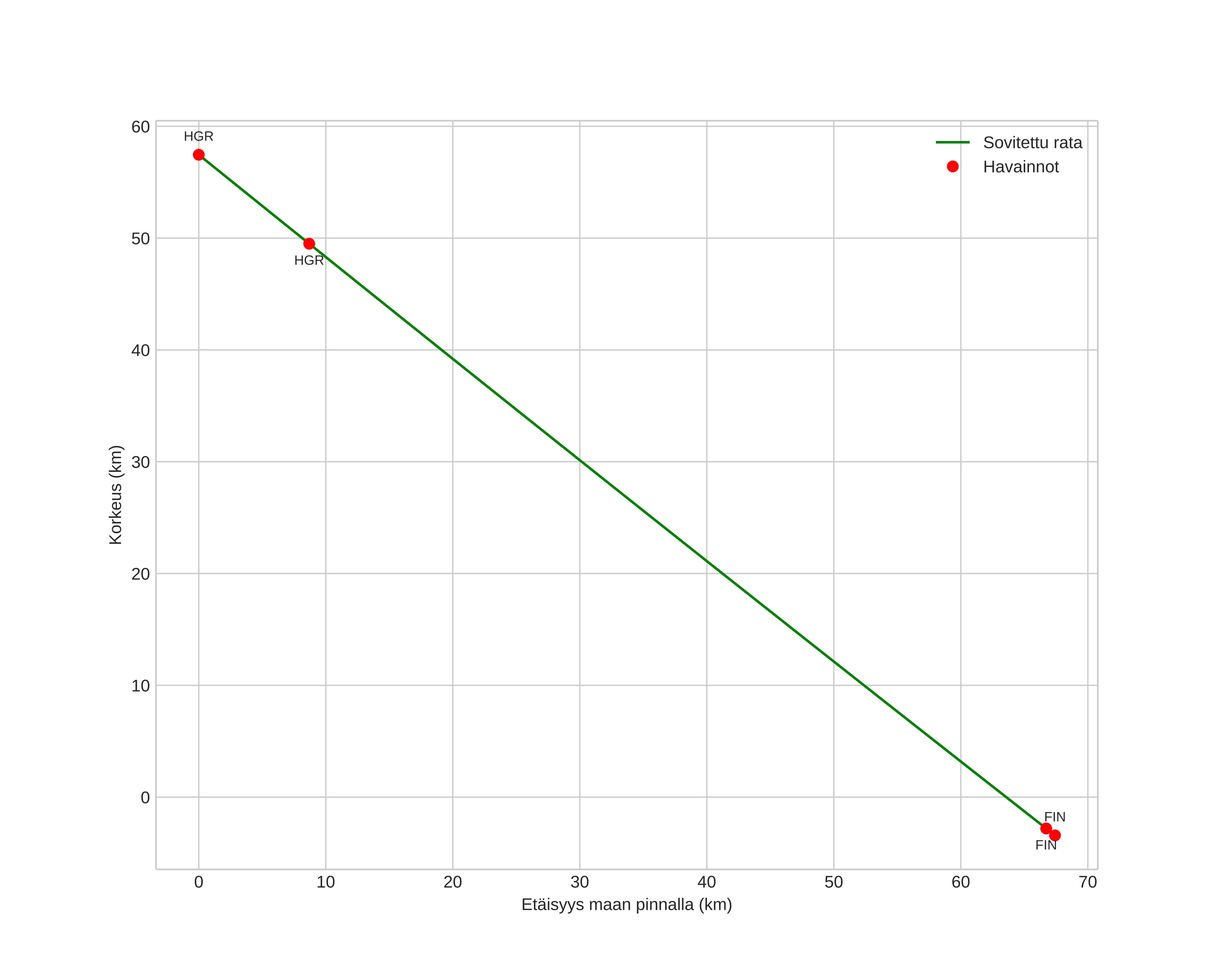
height profile
Meteorin ilmakehärata:
Alkukorkeus: 55,5 km
Loppukorkeus: -2,6 km
Alkupiste: 60,599N 13,467E
Loppupiste: 61,012N 12,585E
Suunta: 314,2°
Kallistuskulma: 41,2°
orbit plot
position vs time
speed and acceleration