🇳🇴 🇬🇧 🇩🇪 🇨🇿 🇫🇮

Meteor, poloha: Sunne 2024-11-18 03:18:36 UTC

Soubor KML  |  InteraktivnĂ­ mapa

Mapa zobrazuje dráhy meteoru. Světlejší čáry ukazují směry od pozorovacích stanic při objevení se meteoru a tmavší čáry, kde byl naposledy viděn. Modrá šipka značí viditelnou dráhu meteoru.

static map
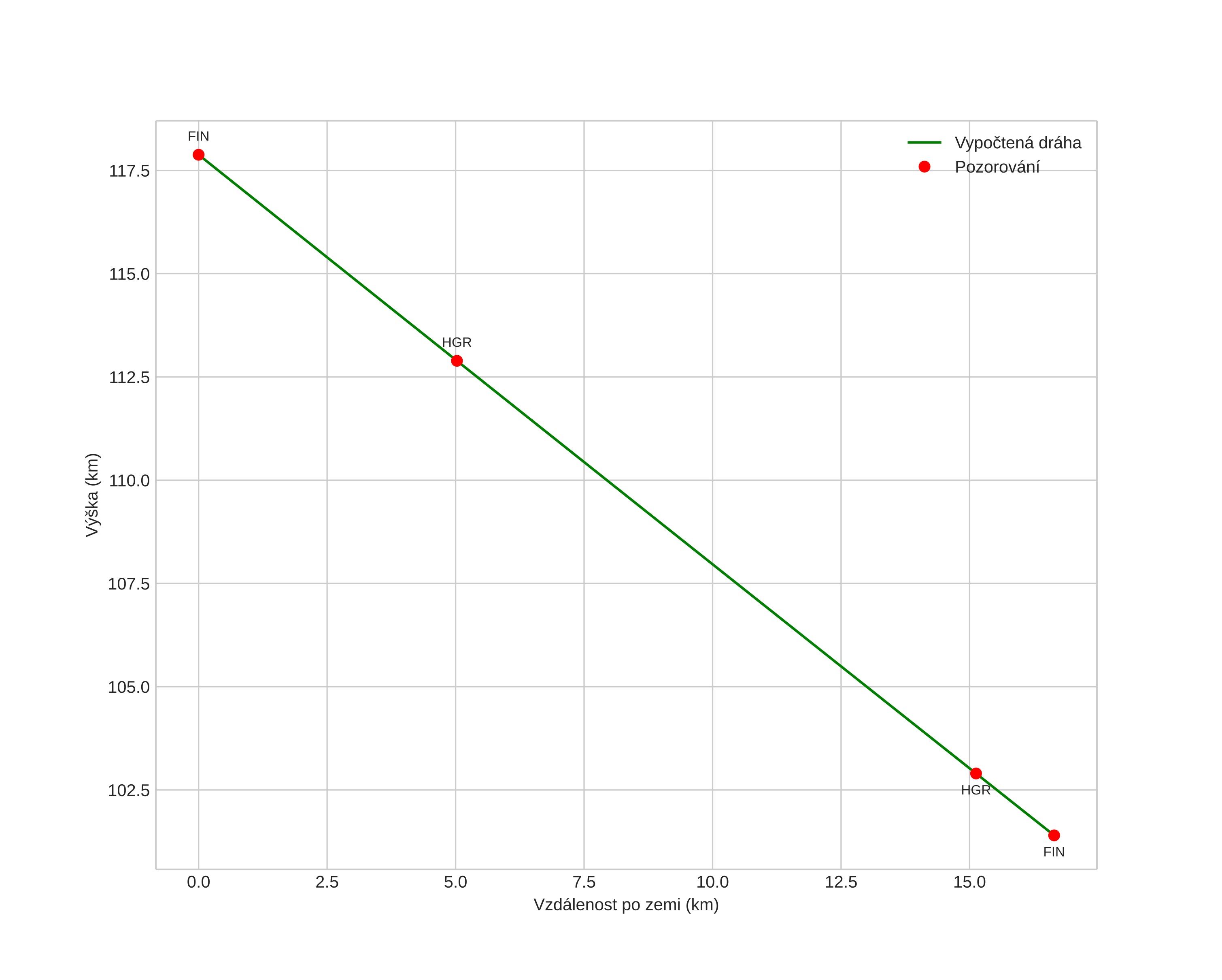
height profile
Atmosférická dráha meteoru:
Počáteční výška: 117,7 km
Konečná výška: 98,7 km
Počáteční poloha: 59,760N 13,196E
Konečná poloha: 59,871N 12,941E
Směr: 311,0°
Sklon: 45,2°
VstupnĂ­ rychlost: 73,0 km/s
Rektascenze radiantu: 10:20 (155,0°)
Deklinace radiantu: 22,2°
MeteorickĂ˝ roj: Leonidy
Elementy dráhy meteoroidu:
Vzdálenost v periheliu: 0,983 AU
Excentricita: 1,049
Sklon dráhy: 161,2°
Délka vzestupného uzlu: 235,9°
Argument perihelia: 171,7°
Střední anomálie: 0,1°
Epocha: 2024 NOV 18 03:18:36
orbit plot

NeinteraktivnĂ­ graf | InteraktivnĂ­ graf

position vs time
speed and acceleration