🇳🇴 🇬🇧 🇩🇪 🇨🇿 🇫🇮

Meteor Sunnen yllä 2024-11-18 03:18:36 UTC

KML-tiedosto  |  Interaktiivinen kartta

Kartta näyttää meteorin suuntahavainnot. Vaaleammat viivat näyttävät suunnat havaintoasemilta meteorin ilmestyessä, ja tummemmat viivat näyttävät, missä se viimeksi nähtiin. Sininen nuoli näyttää meteorin näkyvän lennon.

static map
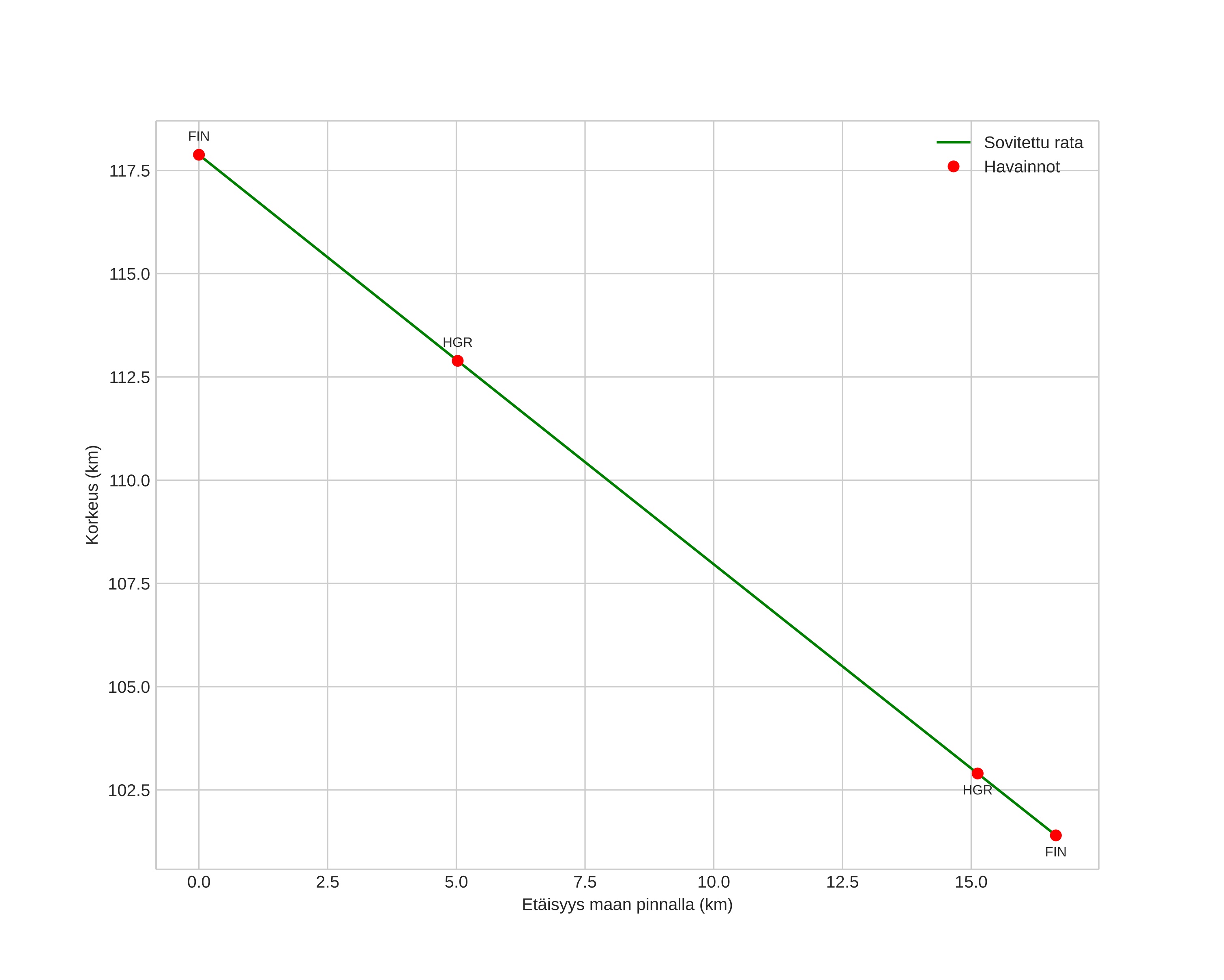
height profile
Meteorin ilmakehärata:
Alkukorkeus: 117,7 km
Loppukorkeus: 98,7 km
Alkupiste: 59,760N 13,196E
Loppupiste: 59,871N 12,941E
Suunta: 311,0°
Kallistuskulma: 45,2°
Tulonopeus: 73,0 km/s
Radiantin R,A,: 10:20 (155,0°)
Radiantin Dekl,: 22,2°
Meteoriparvi: Leonidit
Meteoroidin rataelementit:
Perihelietäisyys: 0,983 AU
Eksentrisyys: 1,049
Inklinaatio: 161,2°
Nousevan solmun pituus: 235,9°
Perihelin argumentti: 171,7°
Keskianomalia: 0,1°
Epookki: 2024 NOV 18 03:18:36
orbit plot

Ei-interaktiivinen kuvaaja | Interaktiivinen kuvaaja

position vs time
speed and acceleration