🇳🇴 🇬🇧 🇩🇪 🇨🇿 🇫🇮

Meteor, poloha: Spetalen 2024-11-18 03:39:39 UTC

Soubor KML  |  InteraktivnĂ­ mapa

Mapa zobrazuje dráhy meteoru. Světlejší čáry ukazují směry od pozorovacích stanic při objevení se meteoru a tmavší čáry, kde byl naposledy viděn. Modrá šipka značí viditelnou dráhu meteoru.

static map
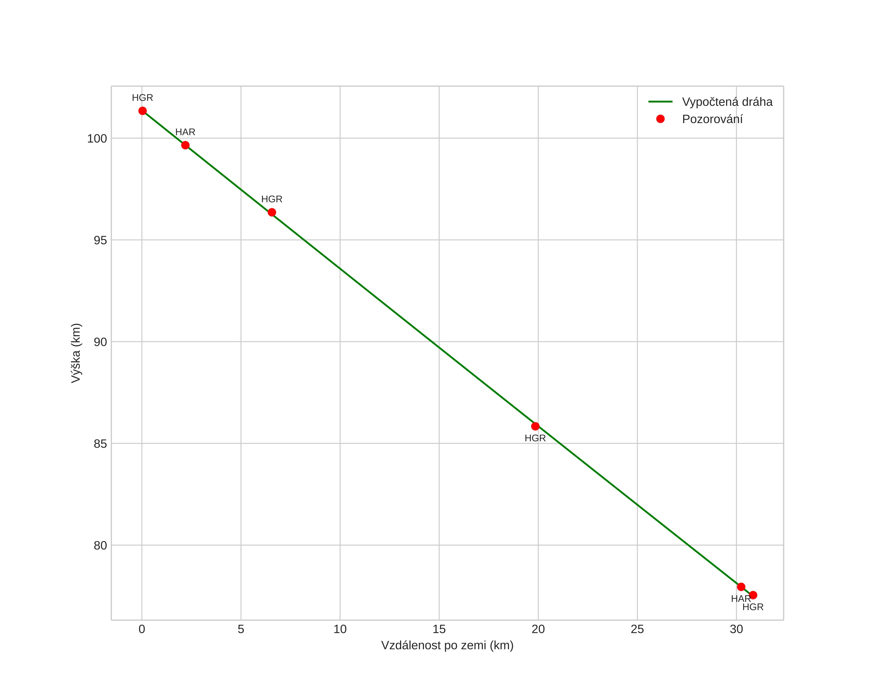
height profile
Atmosférická dráha meteoru:
Počáteční výška: 101,4 km
Konečná výška: 77,5 km
Počáteční poloha: 59,880N 11,319E
Konečná poloha: 59,941N 11,858E
Směr: 77,0°
Sklon: 37,8°
VstupnĂ­ rychlost: 29,7 km/s
Rektascenze radiantu: 04:11 (63,0°)
Deklinace radiantu: 24,2°
MeteorickĂ˝ roj: SevernĂ­ Tauridy
Elementy dráhy meteoroidu:
Vzdálenost v periheliu: 0,393 AU
Excentricita: 0,834
Sklon dráhy: 3,3°
Délka vzestupného uzlu: 235,9°
Argument perihelia: 289,0°
Střední anomálie: 348,5°
Epocha: 2024 NOV 18 03:39:39
orbit plot

NeinteraktivnĂ­ graf | InteraktivnĂ­ graf

position vs time
speed and acceleration