🇳🇴 🇬🇧 🇩🇪 🇨🇿 🇫🇮

Meteor Spetalenin yllä 2024-11-18 03:39:39 UTC

KML-tiedosto  |  Interaktiivinen kartta

Kartta näyttää meteorin suuntahavainnot. Vaaleammat viivat näyttävät suunnat havaintoasemilta meteorin ilmestyessä, ja tummemmat viivat näyttävät, missä se viimeksi nähtiin. Sininen nuoli näyttää meteorin näkyvän lennon.

static map
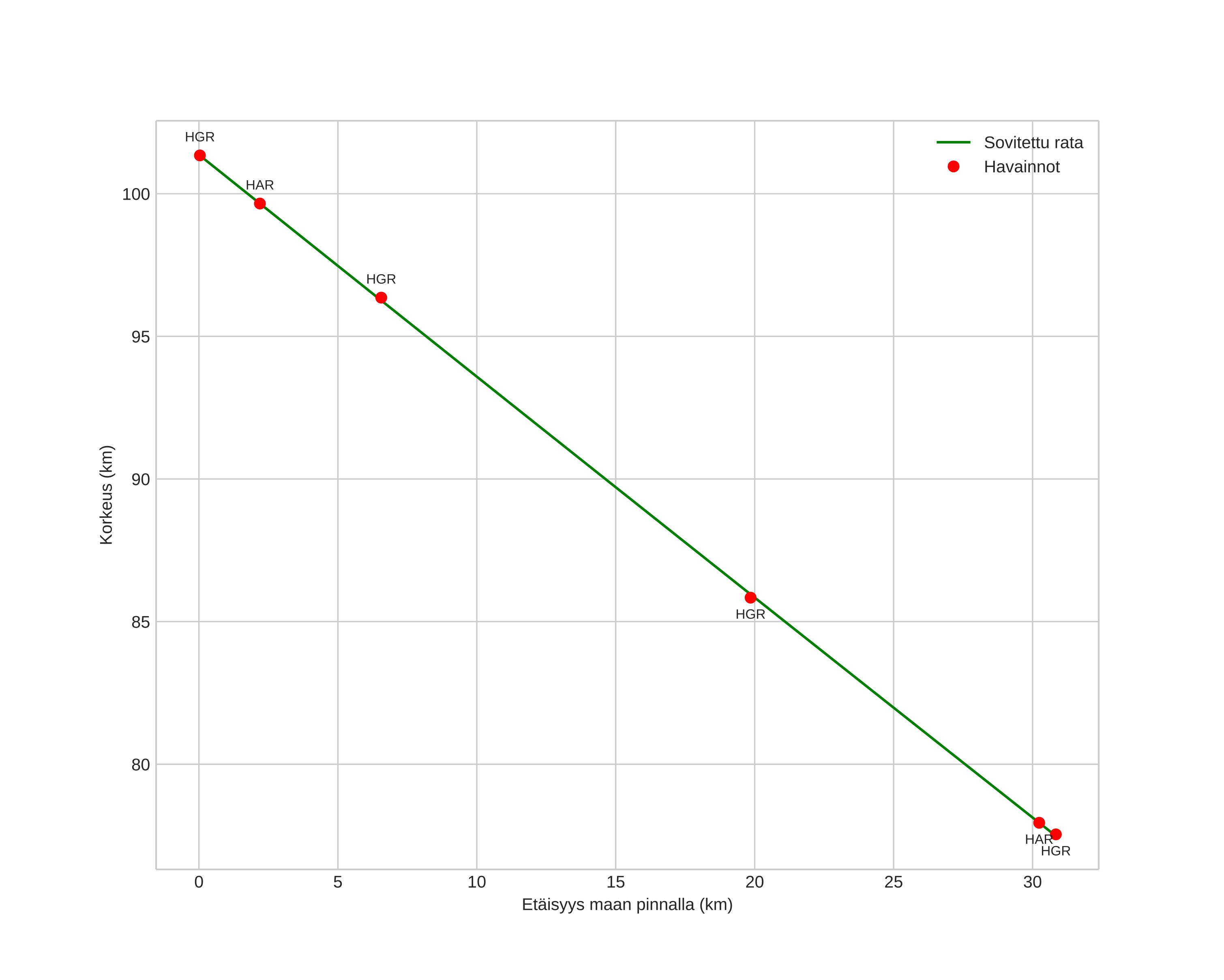
height profile
Meteorin ilmakehärata:
Alkukorkeus: 101,4 km
Loppukorkeus: 77,5 km
Alkupiste: 59,880N 11,319E
Loppupiste: 59,941N 11,858E
Suunta: 77,0°
Kallistuskulma: 37,8°
Tulonopeus: 29,7 km/s
Radiantin R,A,: 04:11 (63,0°)
Radiantin Dekl,: 24,2°
Meteoriparvi: Pohjoiset tauridit
Meteoroidin rataelementit:
Perihelietäisyys: 0,393 AU
Eksentrisyys: 0,834
Inklinaatio: 3,3°
Nousevan solmun pituus: 235,9°
Perihelin argumentti: 289,0°
Keskianomalia: 348,5°
Epookki: 2024 NOV 18 03:39:39
orbit plot

Ei-interaktiivinen kuvaaja | Interaktiivinen kuvaaja

position vs time
speed and acceleration