🇳🇴 🇬🇧 🇩🇪 🇨🇿 🇫🇮

Meteor, poloha: Aursmoen 2024-11-18 05:18:45 UTC

Soubor KML  |  InteraktivnĂ­ mapa

Mapa zobrazuje dráhy meteoru. Světlejší čáry ukazují směry od pozorovacích stanic při objevení se meteoru a tmavší čáry, kde byl naposledy viděn. Modrá šipka značí viditelnou dráhu meteoru.

static map
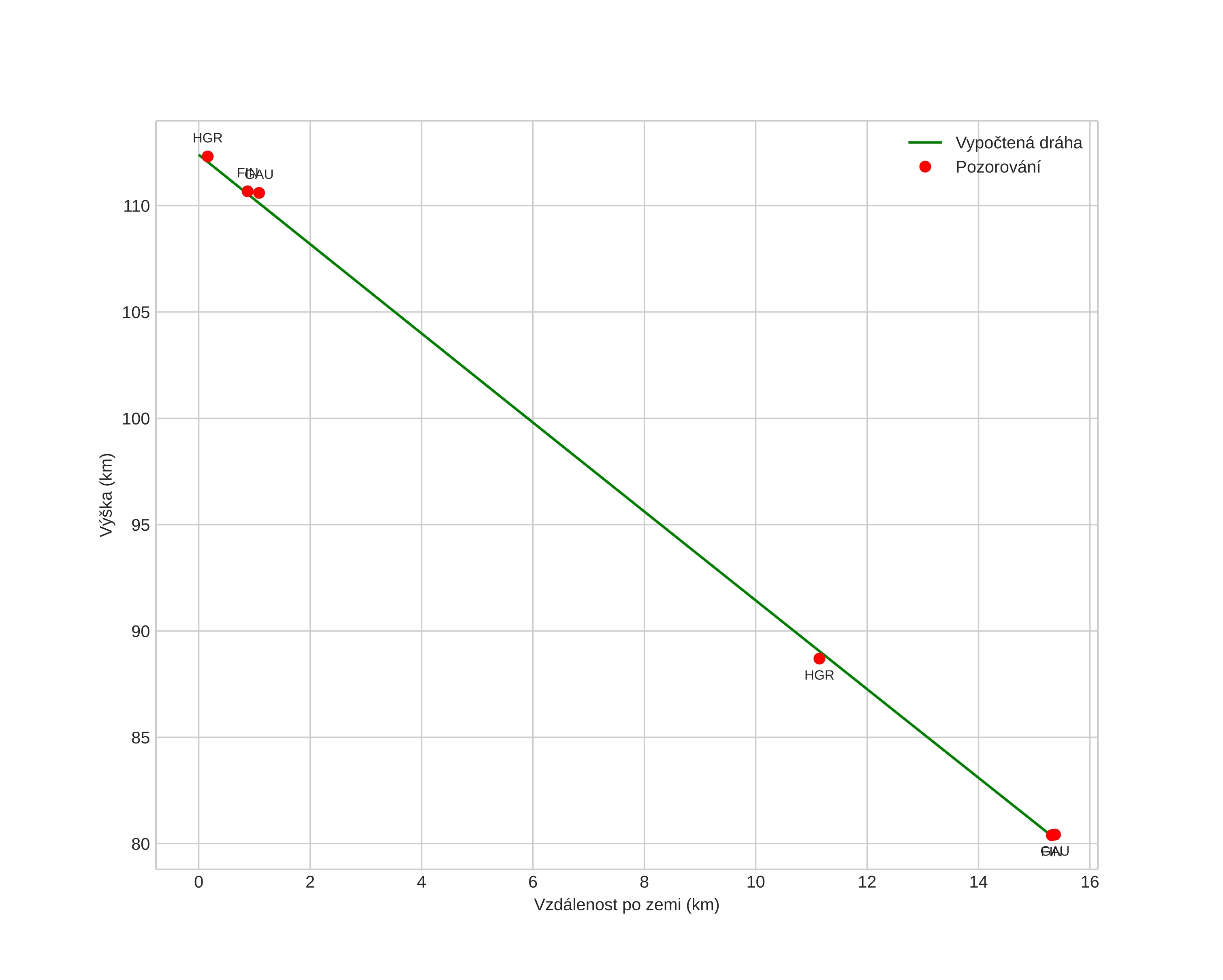
height profile
Atmosférická dráha meteoru:
Počáteční výška: 112,5 km
Konečná výška: 80,3 km
Počáteční poloha: 59,814N 11,275E
Konečná poloha: 59,927N 11,431E
Směr: 34,6°
Sklon: 64,6°
VstupnĂ­ rychlost: 51,9 km/s
Rektascenze radiantu: 08:40 (130,1°)
Deklinace radiantu: 36,8°
MeteorickĂ˝ roj: sporadickĂ˝
Elementy dráhy meteoroidu:
Vzdálenost v periheliu: 0,292 AU
Excentricita: 0,680
Sklon dráhy: 132,8°
Délka vzestupného uzlu: 236,0°
Argument perihelia: 317,8°
Střední anomálie: 301,6°
Epocha: 2024 NOV 18 05:18:45
orbit plot

NeinteraktivnĂ­ graf | InteraktivnĂ­ graf

position vs time
speed and acceleration

Finnskogen (FIN) cam4


gnomonic
Videa
• Gnomonická
• Gnomonická se souřadnicemi
• Původní
• Původní se souřadnicemi
Obrázky
• Gnomonická
• Gnomonická se souřadnicemi
• Původní
• Původní se souřadnicemi
Textové soubory
• Detekce
• Pozorování
• Souřadnice
• Protokol
Jasnost