🇳🇴 🇬🇧 🇩🇪 🇨🇿 🇫🇮

Meteor Aursmoenin yllä 2024-11-18 05:18:45 UTC

KML-tiedosto  |  Interaktiivinen kartta

Kartta näyttää meteorin suuntahavainnot. Vaaleammat viivat näyttävät suunnat havaintoasemilta meteorin ilmestyessä, ja tummemmat viivat näyttävät, missä se viimeksi nähtiin. Sininen nuoli näyttää meteorin näkyvän lennon.

static map
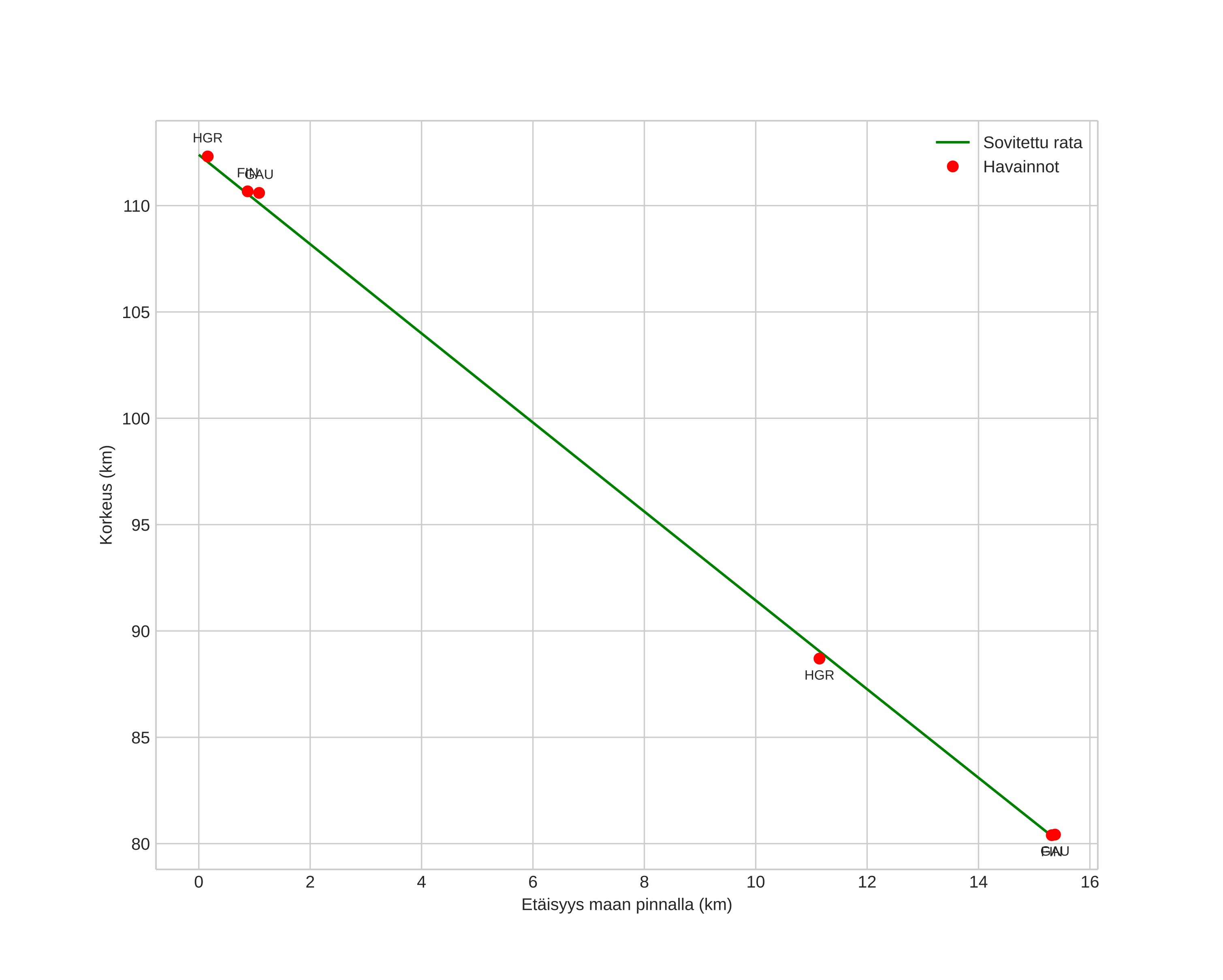
height profile
Meteorin ilmakehärata:
Alkukorkeus: 112,5 km
Loppukorkeus: 80,3 km
Alkupiste: 59,814N 11,275E
Loppupiste: 59,927N 11,431E
Suunta: 34,6°
Kallistuskulma: 64,6°
Tulonopeus: 51,9 km/s
Radiantin R,A,: 08:40 (130,1°)
Radiantin Dekl,: 36,8°
Meteoriparvi: Sporadinen
Meteoroidin rataelementit:
Perihelietäisyys: 0,292 AU
Eksentrisyys: 0,680
Inklinaatio: 132,8°
Nousevan solmun pituus: 236,0°
Perihelin argumentti: 317,8°
Keskianomalia: 301,6°
Epookki: 2024 NOV 18 05:18:45
orbit plot

Ei-interaktiivinen kuvaaja | Interaktiivinen kuvaaja

position vs time
speed and acceleration

Finnskogen (FIN) cam4


gnomonic
Videot:
• Gnomoninen
• Gnomoninen koordinaateilla
• Alkuperäinen
• Alkuperäinen koordinaateilla
Kuvat:
• Gnomoninen
• Gnomoninen koordinaateilla
• Alkuperäinen
• Alkuperäinen koordinaateilla
Tekstitiedostot:
• Havaintoraportti
• Observaatio
• Koordinaatit
• Loki
Kirkkaus