🇳🇴 🇬🇧 🇩🇪 🇨🇿 🇫🇮

Meteor, poloha: Molkom 2024-11-18 05:30:37 UTC

Soubor KML  |  InteraktivnĂ­ mapa

Mapa zobrazuje dráhy meteoru. Světlejší čáry ukazují směry od pozorovacích stanic při objevení se meteoru a tmavší čáry, kde byl naposledy viděn. Modrá šipka značí viditelnou dráhu meteoru.

static map
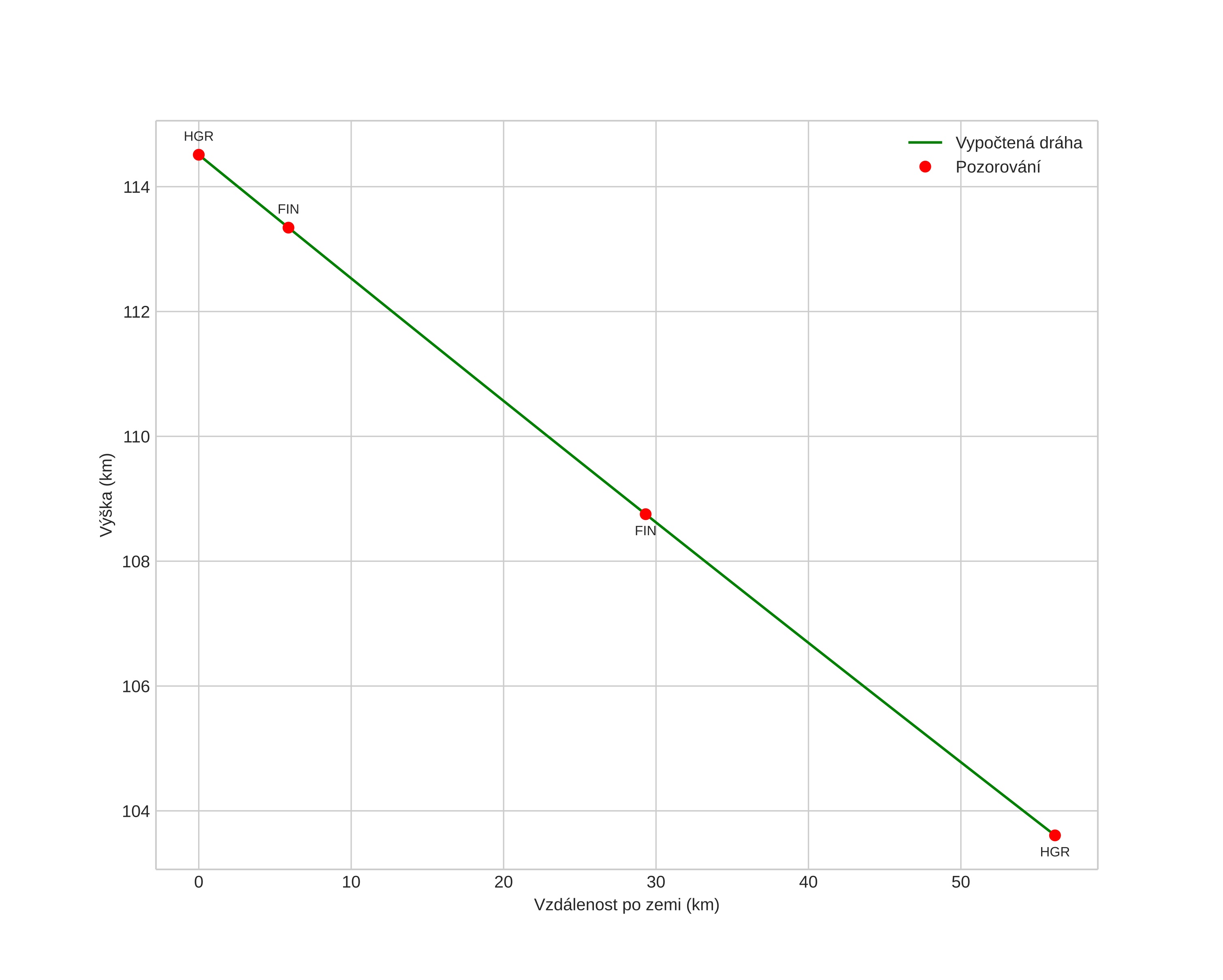
height profile
Atmosférická dráha meteoru:
Počáteční výška: 111,0 km
Konečná výška: 106,8 km
Počáteční poloha: 59,374N 13,092E
Konečná poloha: 59,605N 13,627E
Směr: 49,4°
Sklon: 6,1°
VstupnĂ­ rychlost: 58,9 km/s
Rektascenze radiantu: 06:46 (101,6°)
Deklinace radiantu: -14,6°
MeteorickĂ˝ roj: sporadickĂ˝
Elementy dráhy meteoroidu:
Vzdálenost v periheliu: 0,606 AU
Excentricita: 1,299
Sklon dráhy: 96,8°
Délka vzestupného uzlu: 56,0°
Argument perihelia: 71,7°
Střední anomálie: -11,0°
Epocha: 2024 NOV 18 05:30:37
orbit plot

NeinteraktivnĂ­ graf | InteraktivnĂ­ graf

position vs time
speed and acceleration