🇳🇴 🇬🇧 🇩🇪 🇨🇿 🇫🇮

Meteor Molkomin yllä 2024-11-18 05:30:37 UTC

KML-tiedosto  |  Interaktiivinen kartta

Kartta näyttää meteorin suuntahavainnot. Vaaleammat viivat näyttävät suunnat havaintoasemilta meteorin ilmestyessä, ja tummemmat viivat näyttävät, missä se viimeksi nähtiin. Sininen nuoli näyttää meteorin näkyvän lennon.

static map
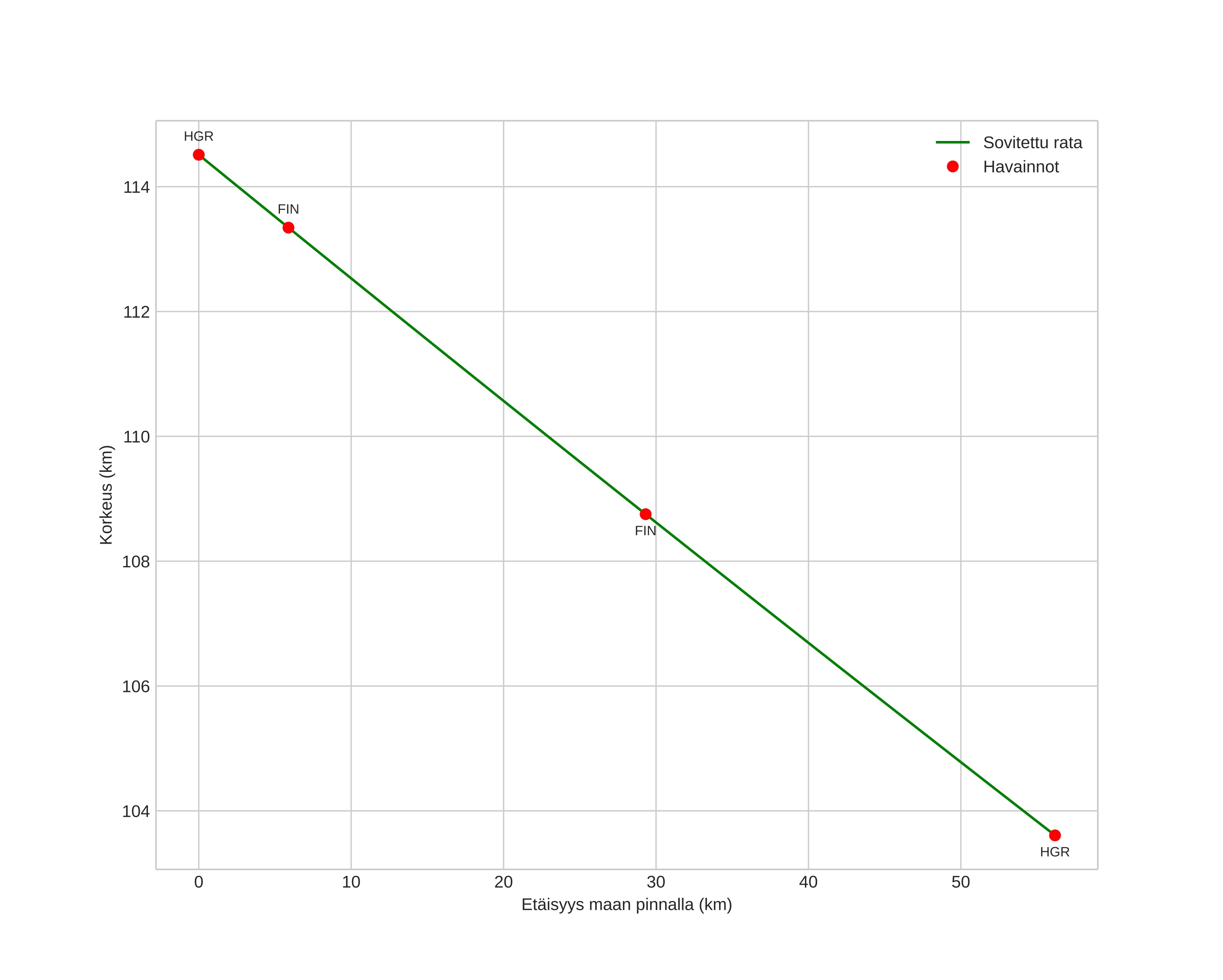
height profile
Meteorin ilmakehärata:
Alkukorkeus: 111,0 km
Loppukorkeus: 106,8 km
Alkupiste: 59,374N 13,092E
Loppupiste: 59,605N 13,627E
Suunta: 49,4°
Kallistuskulma: 6,1°
Tulonopeus: 58,9 km/s
Radiantin R,A,: 06:46 (101,6°)
Radiantin Dekl,: -14,6°
Meteoriparvi: Sporadinen
Meteoroidin rataelementit:
Perihelietäisyys: 0,606 AU
Eksentrisyys: 1,299
Inklinaatio: 96,8°
Nousevan solmun pituus: 56,0°
Perihelin argumentti: 71,7°
Keskianomalia: -11,0°
Epookki: 2024 NOV 18 05:30:37
orbit plot

Ei-interaktiivinen kuvaaja | Interaktiivinen kuvaaja

position vs time
speed and acceleration