🇳🇴 🇬🇧 🇩🇪 🇨🇿 🇫🇮

Meteor, poloha: Grua 2024-11-18 19:18:55 UTC

Soubor KML  |  InteraktivnĂ­ mapa

Mapa zobrazuje dráhy meteoru. Světlejší čáry ukazují směry od pozorovacích stanic při objevení se meteoru a tmavší čáry, kde byl naposledy viděn. Modrá šipka značí viditelnou dráhu meteoru.

static map
height profile
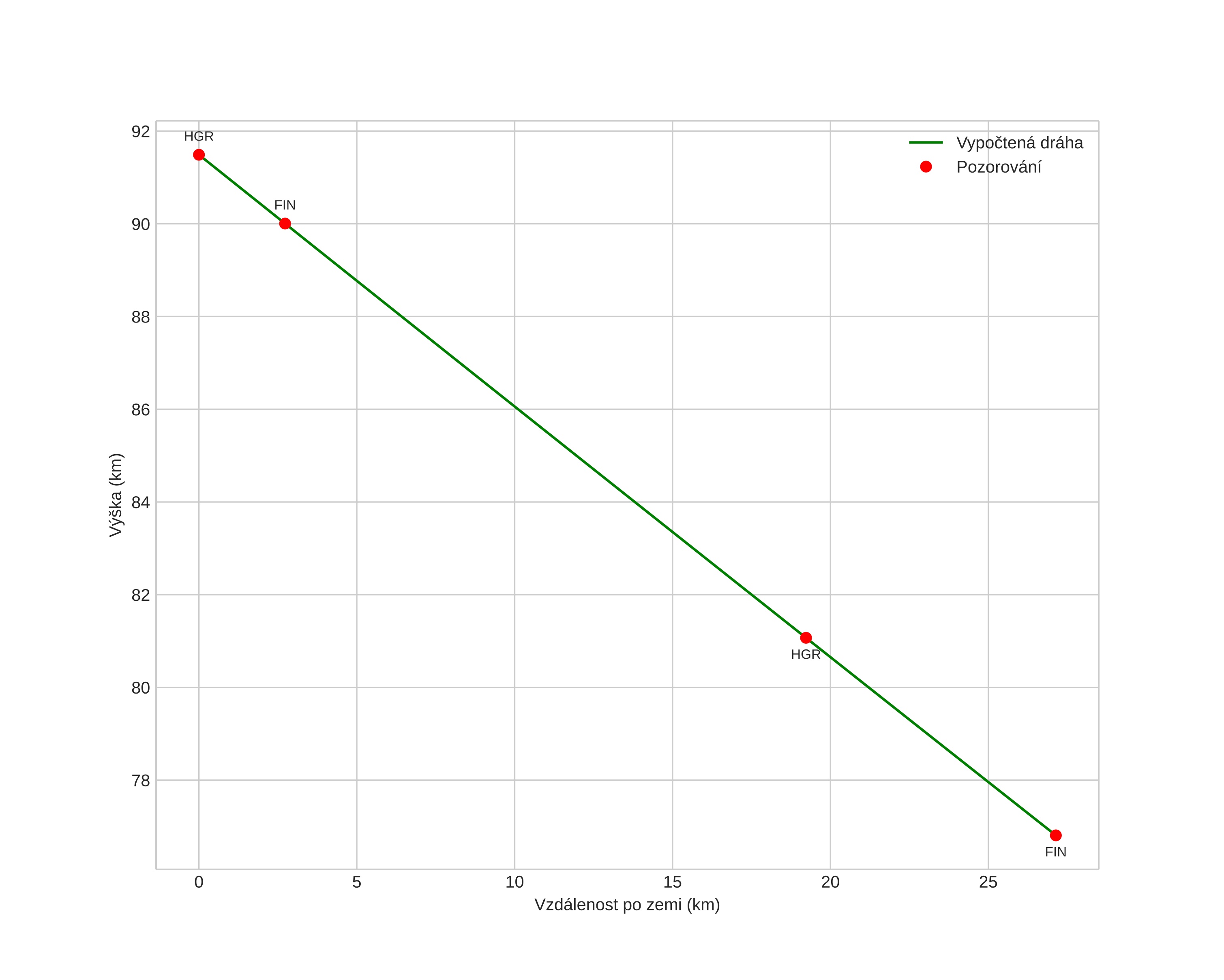
Atmosférická dráha meteoru:
Počáteční výška: 91,3 km
Konečná výška: 77,5 km
Počáteční poloha: 60,091N 11,204E
Konečná poloha: 60,169N 10,735E
Směr: 288,5°
Sklon: 26,7°
VstupnĂ­ rychlost: 25,3 km/s
Rektascenze radiantu: 04:05 (61,4°)
Deklinace radiantu: 11,1°
MeteorickĂ˝ roj: JiĹľnĂ­ Tauridy
Elementy dráhy meteoroidu:
Vzdálenost v periheliu: 0,519 AU
Excentricita: 0,721
Sklon dráhy: 7,6°
Délka vzestupného uzlu: 56,6°
Argument perihelia: 97,7°
Střední anomálie: 341,9°
Epocha: 2024 NOV 18 19:18:55
orbit plot

NeinteraktivnĂ­ graf | InteraktivnĂ­ graf

position vs time
speed and acceleration