🇳🇴 🇬🇧 🇩🇪 🇨🇿 🇫🇮

Meteor Gruan yllä 2024-11-18 19:18:55 UTC

KML-tiedosto  |  Interaktiivinen kartta

Kartta näyttää meteorin suuntahavainnot. Vaaleammat viivat näyttävät suunnat havaintoasemilta meteorin ilmestyessä, ja tummemmat viivat näyttävät, missä se viimeksi nähtiin. Sininen nuoli näyttää meteorin näkyvän lennon.

static map
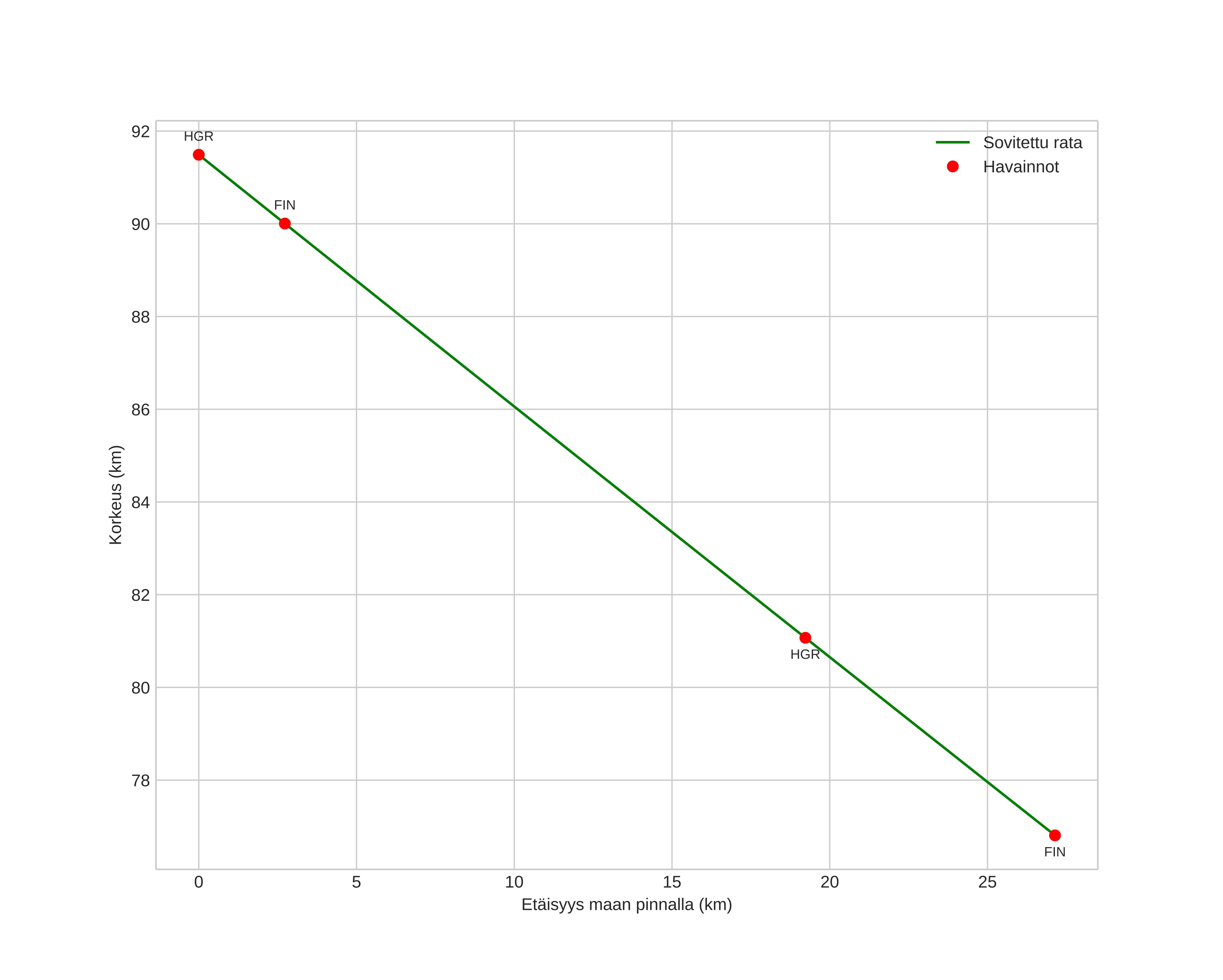
height profile
Meteorin ilmakehärata:
Alkukorkeus: 91,3 km
Loppukorkeus: 77,5 km
Alkupiste: 60,091N 11,204E
Loppupiste: 60,169N 10,735E
Suunta: 288,5°
Kallistuskulma: 26,7°
Tulonopeus: 25,3 km/s
Radiantin R,A,: 04:05 (61,4°)
Radiantin Dekl,: 11,1°
Meteoriparvi: Eteläiset tauridit
Meteoroidin rataelementit:
Perihelietäisyys: 0,519 AU
Eksentrisyys: 0,721
Inklinaatio: 7,6°
Nousevan solmun pituus: 56,6°
Perihelin argumentti: 97,7°
Keskianomalia: 341,9°
Epookki: 2024 NOV 18 19:18:55
orbit plot

Ei-interaktiivinen kuvaaja | Interaktiivinen kuvaaja

position vs time
speed and acceleration