🇳🇴 🇬🇧 🇩🇪 🇨🇿 🇫🇮

Meteor, poloha: Rakkestad 2024-11-18 21:07:31 UTC

Soubor KML  |  InteraktivnĂ­ mapa

Mapa zobrazuje dráhy meteoru. Světlejší čáry ukazují směry od pozorovacích stanic při objevení se meteoru a tmavší čáry, kde byl naposledy viděn. Modrá šipka značí viditelnou dráhu meteoru.

static map
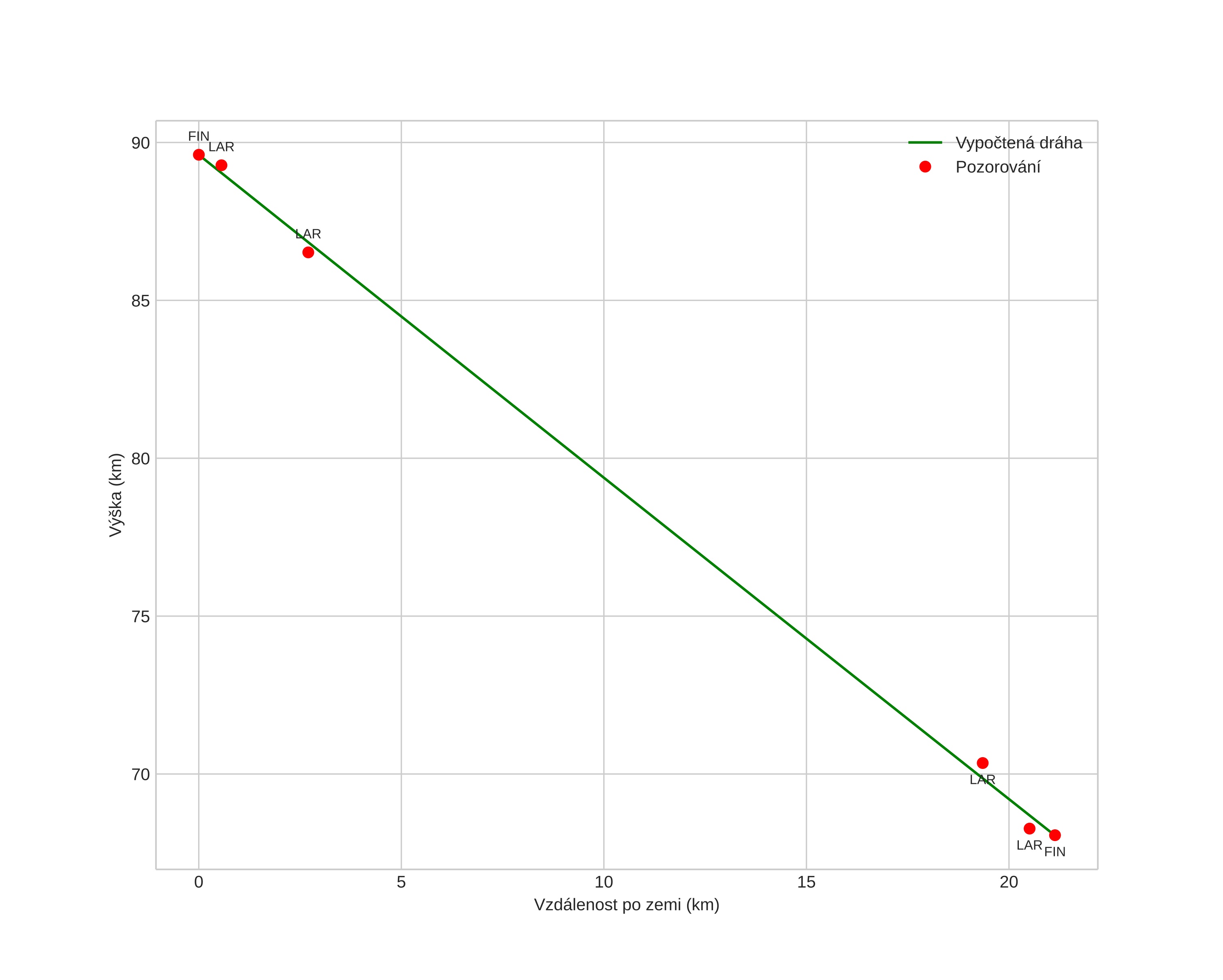
height profile
Atmosférická dráha meteoru:
Počáteční výška: 90,8 km
Konečná výška: 68,9 km
Počáteční poloha: 59,317N 11,627E
Konečná poloha: 59,433N 11,324E
Směr: 307,1°
Sklon: 45,6°
VstupnĂ­ rychlost: 30,7 km/s
Rektascenze radiantu: 04:17 (64,3°)
Deklinace radiantu: 22,0°
MeteorickĂ˝ roj: SevernĂ­ Tauridy
Elementy dráhy meteoroidu:
Vzdálenost v periheliu: 0,384 AU
Excentricita: 0,851
Sklon dráhy: 0,7°
Délka vzestupného uzlu: 236,4°
Argument perihelia: 289,5°
Střední anomálie: 350,0°
Epocha: 2024 NOV 18 21:07:31
orbit plot

NeinteraktivnĂ­ graf | InteraktivnĂ­ graf

position vs time
speed and acceleration