🇳🇴 🇬🇧 🇩🇪 🇨🇿 🇫🇮

Meteor Rakkestadin yllä 2024-11-18 21:07:31 UTC

KML-tiedosto  |  Interaktiivinen kartta

Kartta näyttää meteorin suuntahavainnot. Vaaleammat viivat näyttävät suunnat havaintoasemilta meteorin ilmestyessä, ja tummemmat viivat näyttävät, missä se viimeksi nähtiin. Sininen nuoli näyttää meteorin näkyvän lennon.

static map
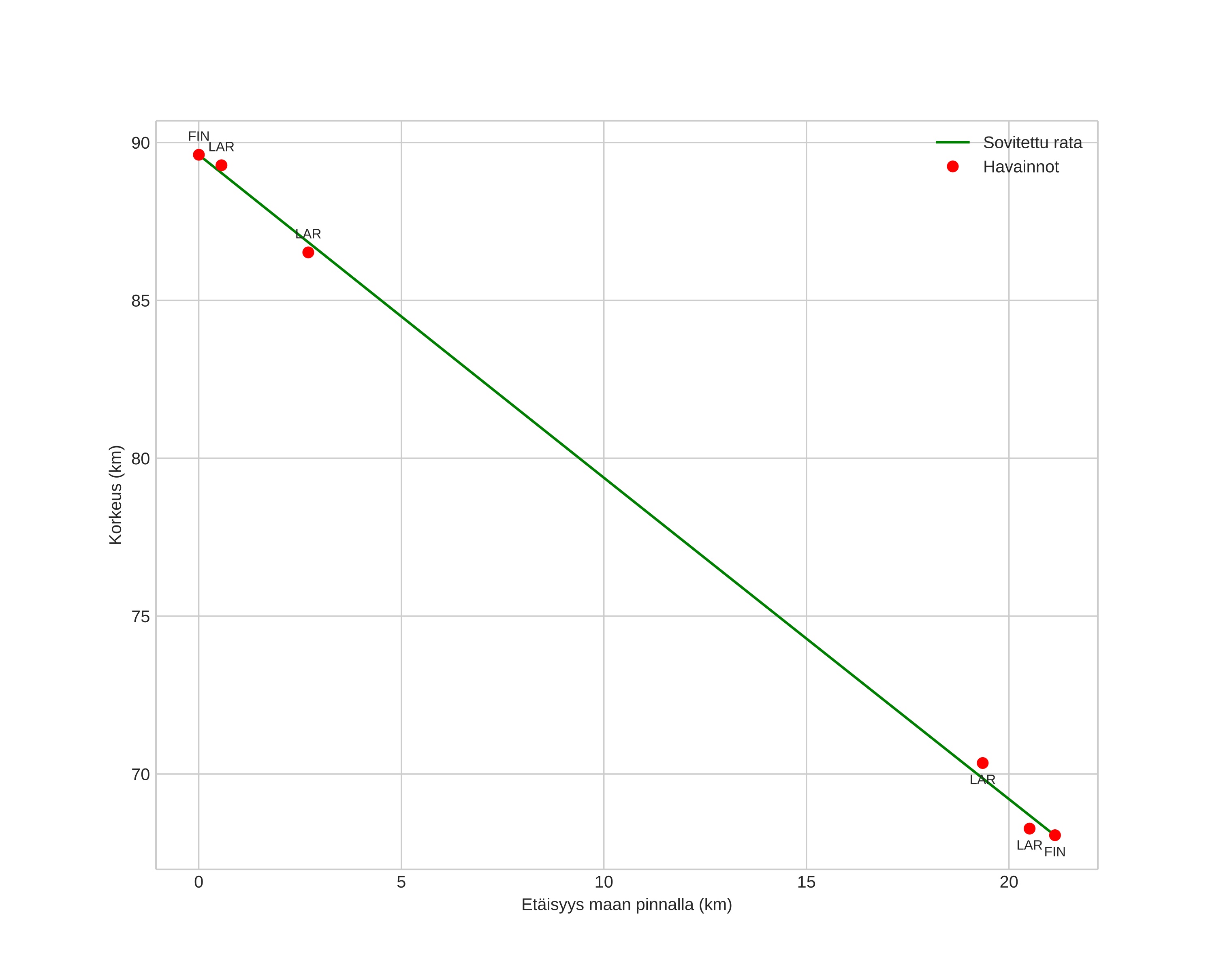
height profile
Meteorin ilmakehärata:
Alkukorkeus: 90,8 km
Loppukorkeus: 68,9 km
Alkupiste: 59,317N 11,627E
Loppupiste: 59,433N 11,324E
Suunta: 307,1°
Kallistuskulma: 45,6°
Tulonopeus: 30,7 km/s
Radiantin R,A,: 04:17 (64,3°)
Radiantin Dekl,: 22,0°
Meteoriparvi: Pohjoiset tauridit
Meteoroidin rataelementit:
Perihelietäisyys: 0,384 AU
Eksentrisyys: 0,851
Inklinaatio: 0,7°
Nousevan solmun pituus: 236,4°
Perihelin argumentti: 289,5°
Keskianomalia: 350,0°
Epookki: 2024 NOV 18 21:07:31
orbit plot

Ei-interaktiivinen kuvaaja | Interaktiivinen kuvaaja

position vs time
speed and acceleration