🇳🇴 🇬🇧 🇩🇪 🇨🇿 🇫🇮

Meteor, poloha: Sandefjord 2024-11-19 00:12:18 UTC

Soubor KML  |  InteraktivnĂ­ mapa

Mapa zobrazuje dráhy meteoru. Světlejší čáry ukazují směry od pozorovacích stanic při objevení se meteoru a tmavší čáry, kde byl naposledy viděn. Modrá šipka značí viditelnou dráhu meteoru.

static map
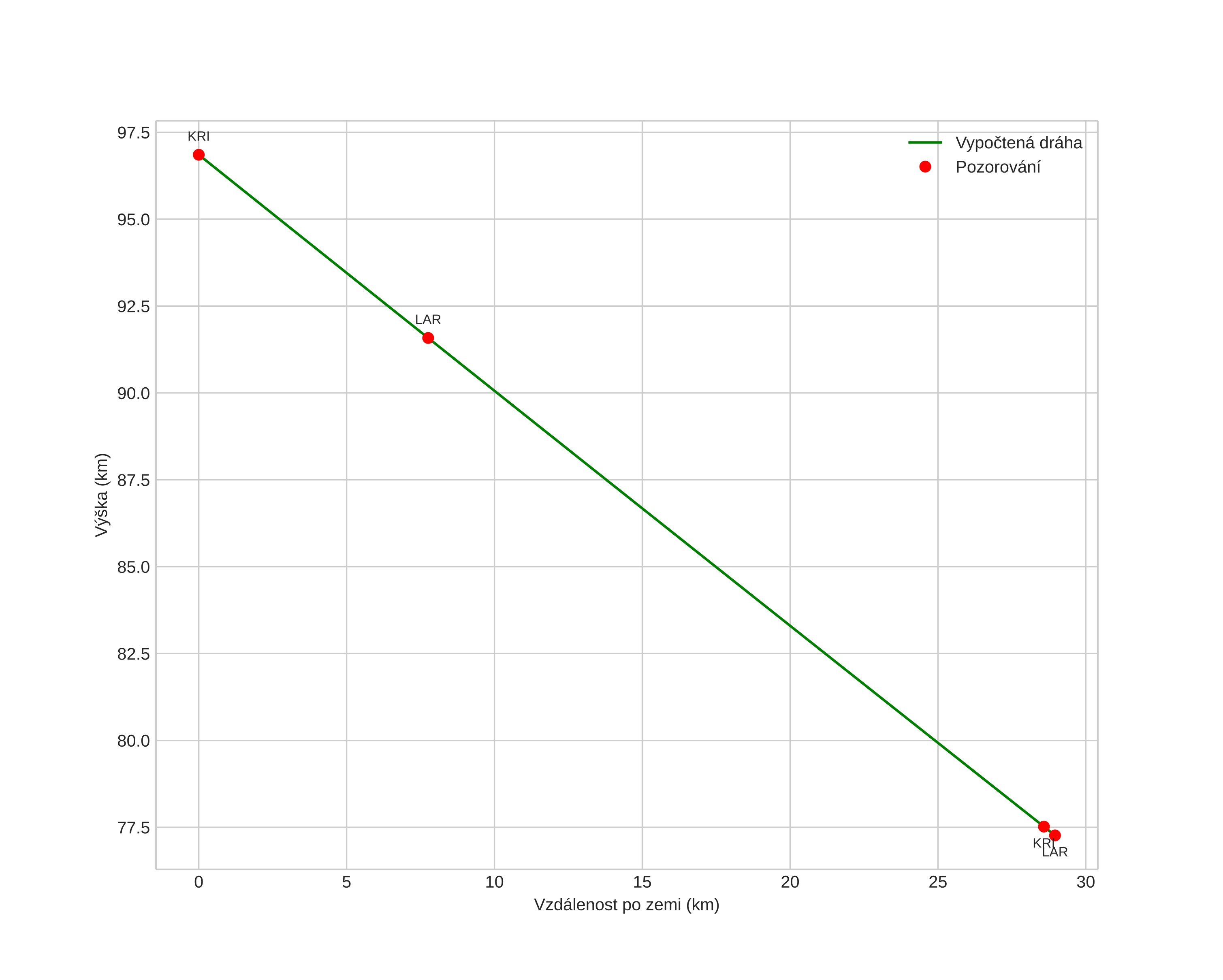
height profile
Atmosférická dráha meteoru:
Počáteční výška: 96,9 km
Konečná výška: 77,0 km
Počáteční poloha: 59,212N 10,143E
Konečná poloha: 58,952N 10,233E
Směr: 169,9°
Sklon: 34,1°
VstupnĂ­ rychlost: 27,7 km/s
Rektascenze radiantu: 18:03 (270,9°)
Deklinace radiantu: 61,3°
MeteorickĂ˝ roj: sporadickĂ˝
Elementy dráhy meteoroidu:
Vzdálenost v periheliu: 0,987 AU
Excentricita: 0,828
Sklon dráhy: 38,8°
Délka vzestupného uzlu: 236,8°
Argument perihelia: 175,4°
Střední anomálie: 0,2°
Epocha: 2024 NOV 19 00:12:18
orbit plot

NeinteraktivnĂ­ graf | InteraktivnĂ­ graf

position vs time
speed and acceleration