🇳🇴 🇬🇧 🇩🇪 🇨🇿 🇫🇮

Meteor Sandefjordin yllä 2024-11-19 00:12:18 UTC

KML-tiedosto  |  Interaktiivinen kartta

Kartta näyttää meteorin suuntahavainnot. Vaaleammat viivat näyttävät suunnat havaintoasemilta meteorin ilmestyessä, ja tummemmat viivat näyttävät, missä se viimeksi nähtiin. Sininen nuoli näyttää meteorin näkyvän lennon.

static map
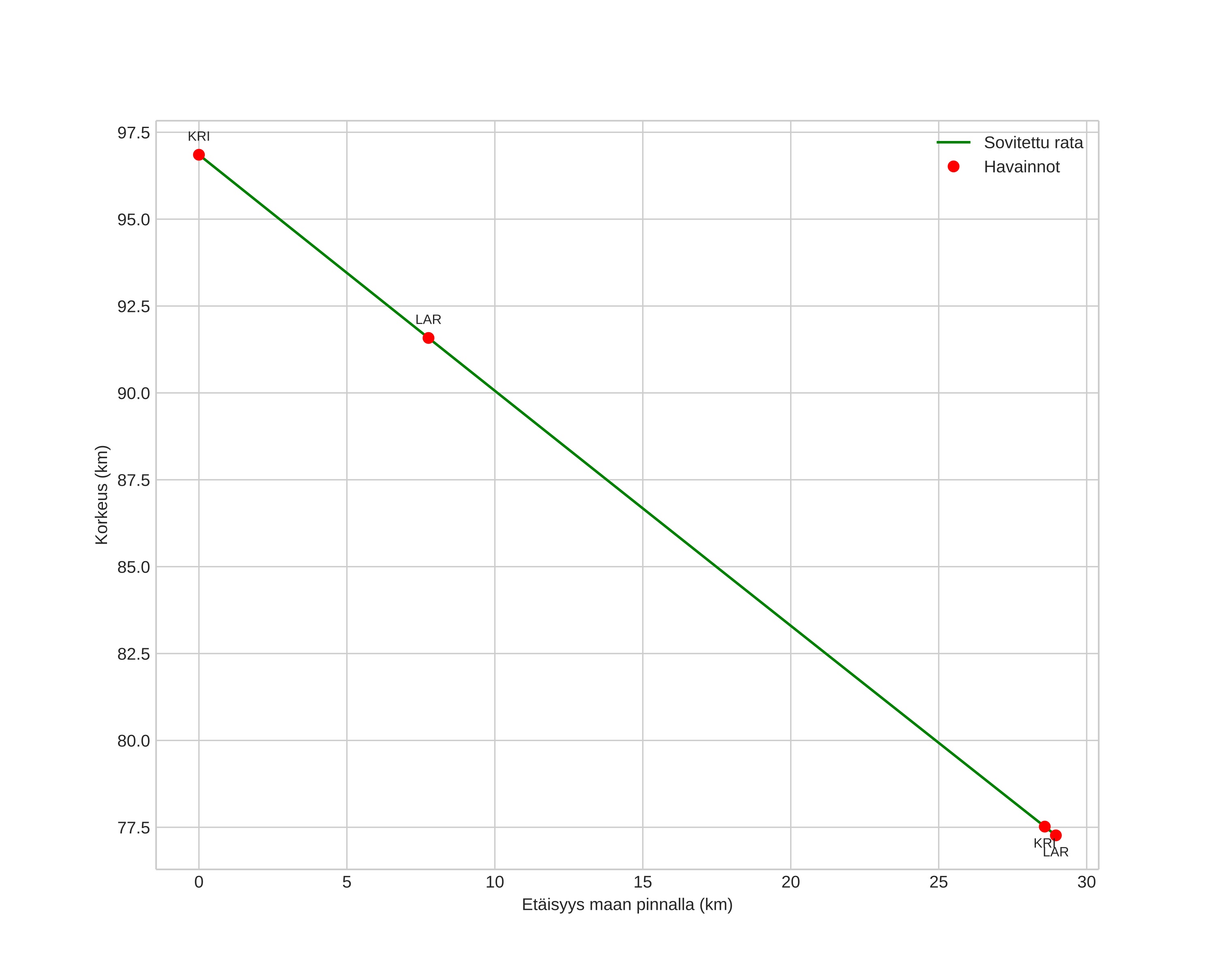
height profile
Meteorin ilmakehärata:
Alkukorkeus: 96,9 km
Loppukorkeus: 77,0 km
Alkupiste: 59,212N 10,143E
Loppupiste: 58,952N 10,233E
Suunta: 169,9°
Kallistuskulma: 34,1°
Tulonopeus: 27,7 km/s
Radiantin R,A,: 18:03 (270,9°)
Radiantin Dekl,: 61,3°
Meteoriparvi: Sporadinen
Meteoroidin rataelementit:
Perihelietäisyys: 0,987 AU
Eksentrisyys: 0,828
Inklinaatio: 38,8°
Nousevan solmun pituus: 236,8°
Perihelin argumentti: 175,4°
Keskianomalia: 0,2°
Epookki: 2024 NOV 19 00:12:18
orbit plot

Ei-interaktiivinen kuvaaja | Interaktiivinen kuvaaja

position vs time
speed and acceleration