🇳🇴 🇬🇧 🇩🇪 🇨🇿 🇫🇮

Meteor, poloha: Utsira 2024-11-19 00:26:09 UTC

Soubor KML  |  InteraktivnĂ­ mapa

Mapa zobrazuje dráhy meteoru. Světlejší čáry ukazují směry od pozorovacích stanic při objevení se meteoru a tmavší čáry, kde byl naposledy viděn. Modrá šipka značí viditelnou dráhu meteoru.

static map
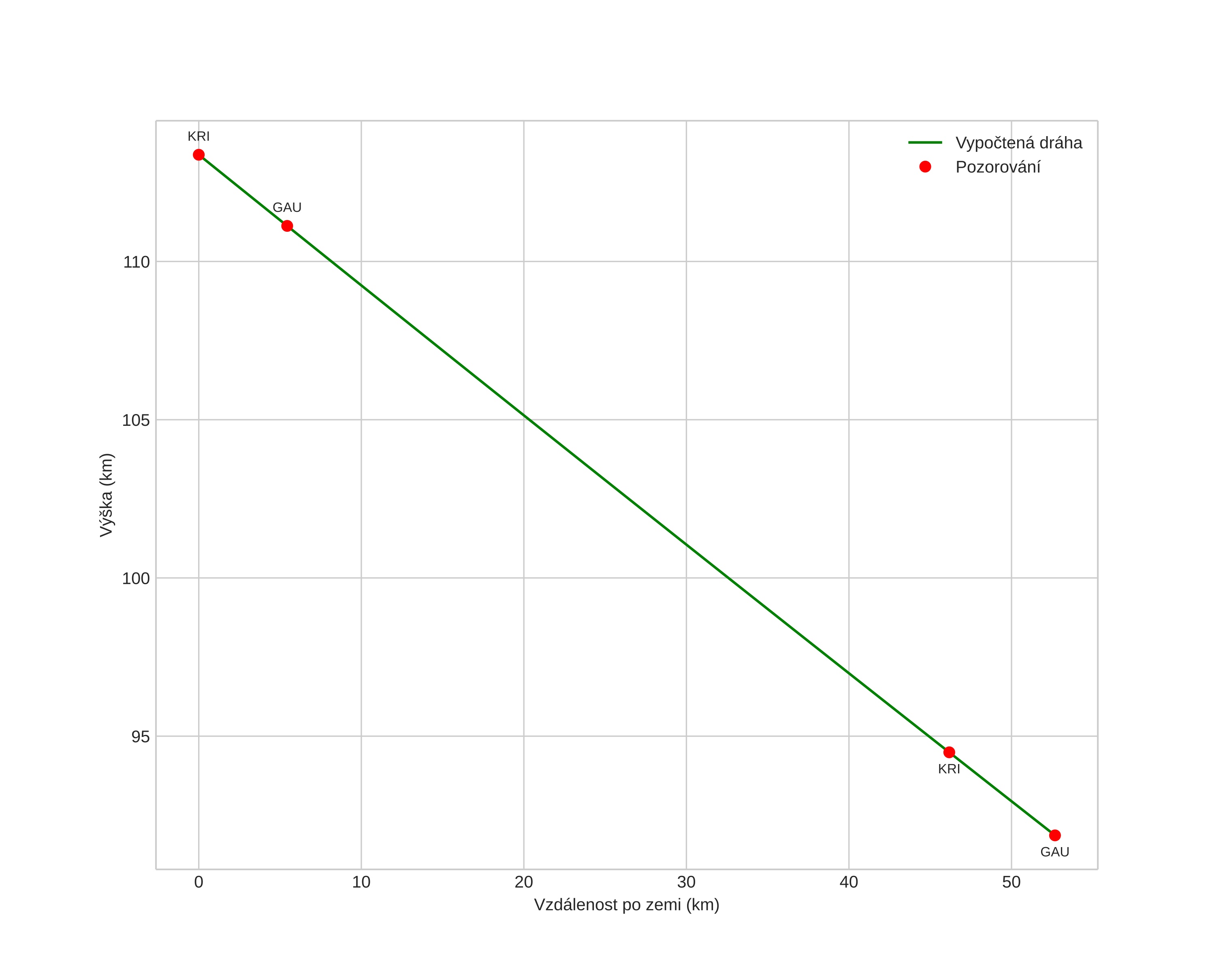
height profile
Atmosférická dráha meteoru:
Počáteční výška: 115,8 km
Konečná výška: 94,0 km
Počáteční poloha: 58,095N 4,738E
Konečná poloha: 58,029N 3,844E
Směr: 262,5°
Sklon: 22,3°
VstupnĂ­ rychlost: 39,7 km/s
Rektascenze radiantu: 10:16 (154,2°)
Deklinace radiantu: 21,7°
MeteorickĂ˝ roj: sporadickĂ˝
Elementy dráhy meteoroidu:
Vzdálenost v periheliu: 0,056 AU
Excentricita: 0,893
Sklon dráhy: 136,5°
Délka vzestupného uzlu: 236,8°
Argument perihelia: 0,4°
Střední anomálie: 176,9°
Epocha: 2024 NOV 19 00:26:09
orbit plot

NeinteraktivnĂ­ graf | InteraktivnĂ­ graf

position vs time
speed and acceleration