🇳🇴 🇬🇧 🇩🇪 🇨🇿 🇫🇮

Meteor Utsiran yllä 2024-11-19 00:26:09 UTC

KML-tiedosto  |  Interaktiivinen kartta

Kartta näyttää meteorin suuntahavainnot. Vaaleammat viivat näyttävät suunnat havaintoasemilta meteorin ilmestyessä, ja tummemmat viivat näyttävät, missä se viimeksi nähtiin. Sininen nuoli näyttää meteorin näkyvän lennon.

static map
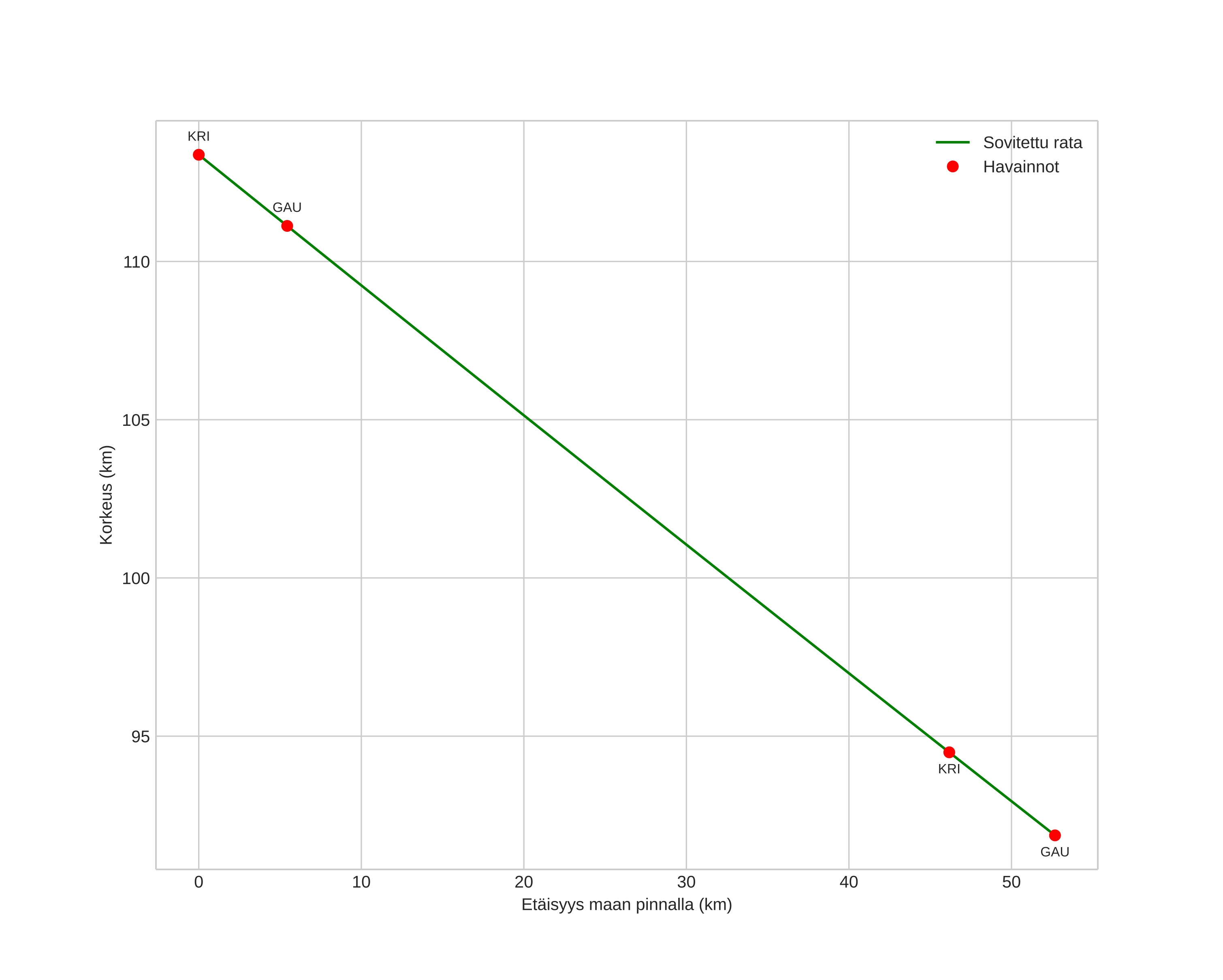
height profile
Meteorin ilmakehärata:
Alkukorkeus: 115,8 km
Loppukorkeus: 94,0 km
Alkupiste: 58,095N 4,738E
Loppupiste: 58,029N 3,844E
Suunta: 262,5°
Kallistuskulma: 22,3°
Tulonopeus: 39,7 km/s
Radiantin R,A,: 10:16 (154,2°)
Radiantin Dekl,: 21,7°
Meteoriparvi: Sporadinen
Meteoroidin rataelementit:
Perihelietäisyys: 0,056 AU
Eksentrisyys: 0,893
Inklinaatio: 136,5°
Nousevan solmun pituus: 236,8°
Perihelin argumentti: 0,4°
Keskianomalia: 176,9°
Epookki: 2024 NOV 19 00:26:09
orbit plot

Ei-interaktiivinen kuvaaja | Interaktiivinen kuvaaja

position vs time
speed and acceleration