🇳🇴 🇬🇧 🇩🇪 🇨🇿 🇫🇮

Meteor, poloha: Innbygda 2024-11-20 18:43:27 UTC

Soubor KML  |  InteraktivnĂ­ mapa

Mapa zobrazuje dráhy meteoru. Světlejší čáry ukazují směry od pozorovacích stanic při objevení se meteoru a tmavší čáry, kde byl naposledy viděn. Modrá šipka značí viditelnou dráhu meteoru.

static map
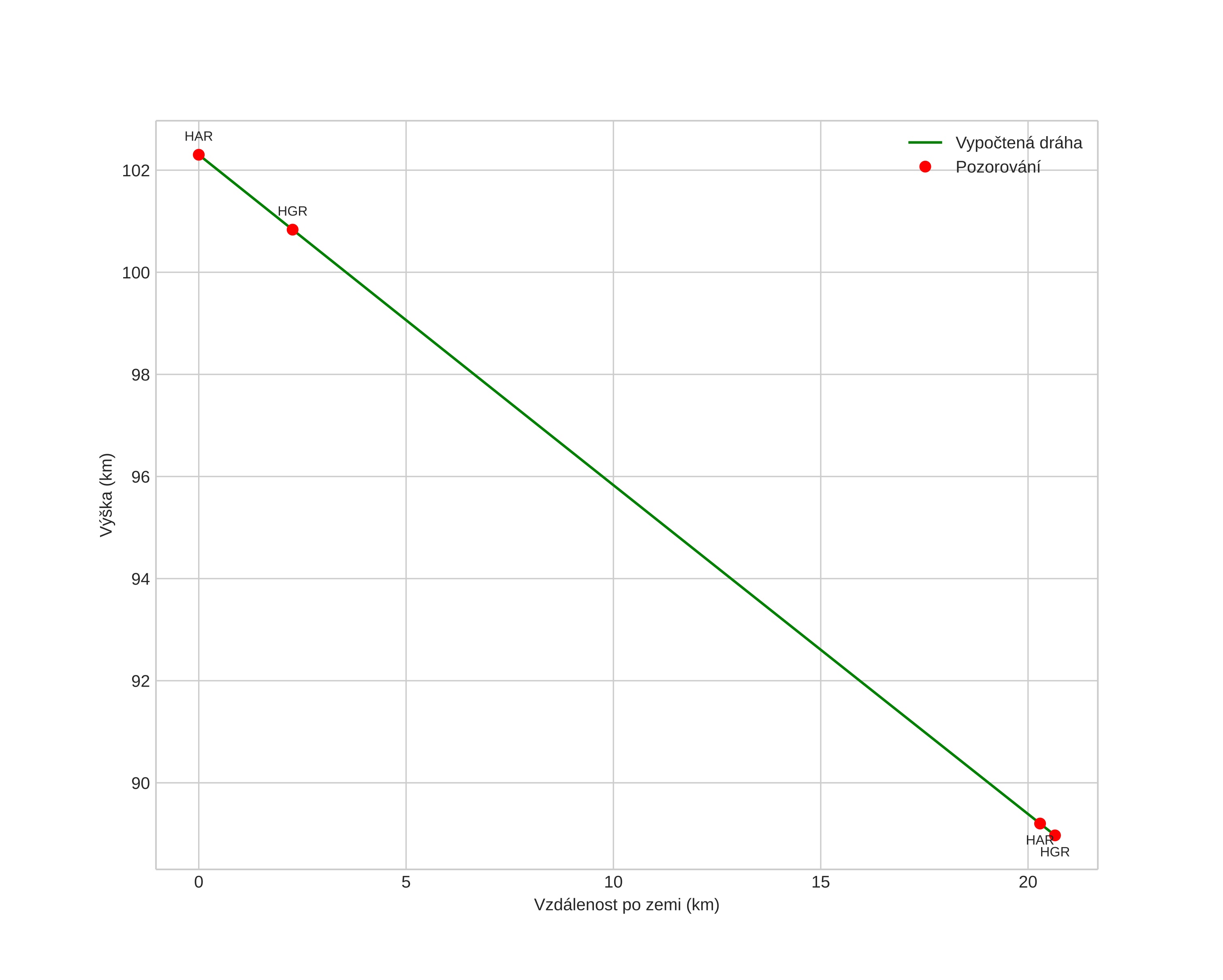
height profile
Atmosférická dráha meteoru:
Počáteční výška: 98,6 km
Konečná výška: 87,1 km
Počáteční poloha: 61,170N 12,425E
Konečná poloha: 61,001N 12,465E
Směr: 173,4°
Sklon: 31,2°
VstupnĂ­ rychlost: 48,2 km/s
Rektascenze radiantu: 12:18 (184,7°)
Deklinace radiantu: 59,0°
MeteorickĂ˝ roj: sporadickĂ˝
Elementy dráhy meteoroidu:
Vzdálenost v periheliu: 0,988 AU
Excentricita: 0,588
Sklon dráhy: 86,7°
Délka vzestupného uzlu: 238,6°
Argument perihelia: 179,5°
Střední anomálie: 0,1°
Epocha: 2024 NOV 20 18:43:27
orbit plot

NeinteraktivnĂ­ graf | InteraktivnĂ­ graf

position vs time
speed and acceleration