🇳🇴 🇬🇧 🇩🇪 🇨🇿 🇫🇮

Meteor Innbygdan yllä 2024-11-20 18:43:27 UTC

KML-tiedosto  |  Interaktiivinen kartta

Kartta näyttää meteorin suuntahavainnot. Vaaleammat viivat näyttävät suunnat havaintoasemilta meteorin ilmestyessä, ja tummemmat viivat näyttävät, missä se viimeksi nähtiin. Sininen nuoli näyttää meteorin näkyvän lennon.

static map
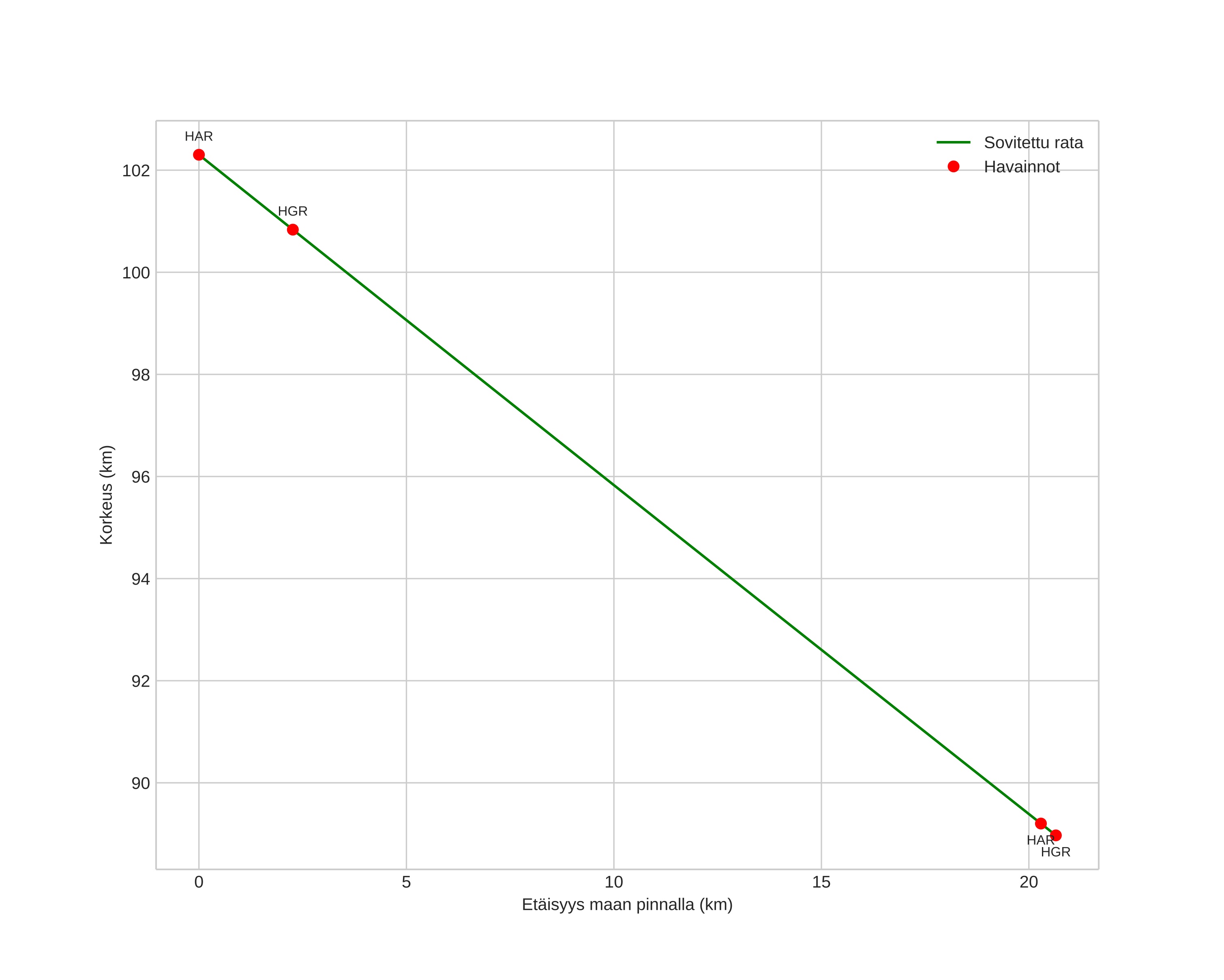
height profile
Meteorin ilmakehärata:
Alkukorkeus: 98,6 km
Loppukorkeus: 87,1 km
Alkupiste: 61,170N 12,425E
Loppupiste: 61,001N 12,465E
Suunta: 173,4°
Kallistuskulma: 31,2°
Tulonopeus: 48,2 km/s
Radiantin R,A,: 12:18 (184,7°)
Radiantin Dekl,: 59,0°
Meteoriparvi: Sporadinen
Meteoroidin rataelementit:
Perihelietäisyys: 0,988 AU
Eksentrisyys: 0,588
Inklinaatio: 86,7°
Nousevan solmun pituus: 238,6°
Perihelin argumentti: 179,5°
Keskianomalia: 0,1°
Epookki: 2024 NOV 20 18:43:27
orbit plot

Ei-interaktiivinen kuvaaja | Interaktiivinen kuvaaja

position vs time
speed and acceleration