🇳🇴 🇬🇧 🇩🇪 🇨🇿 🇫🇮

Meteor, poloha: Hatteng 2024-11-20 18:46:10 UTC

Soubor KML  |  InteraktivnĂ­ mapa

Mapa zobrazuje dráhy meteoru. Světlejší čáry ukazují směry od pozorovacích stanic při objevení se meteoru a tmavší čáry, kde byl naposledy viděn. Modrá šipka značí viditelnou dráhu meteoru.

static map
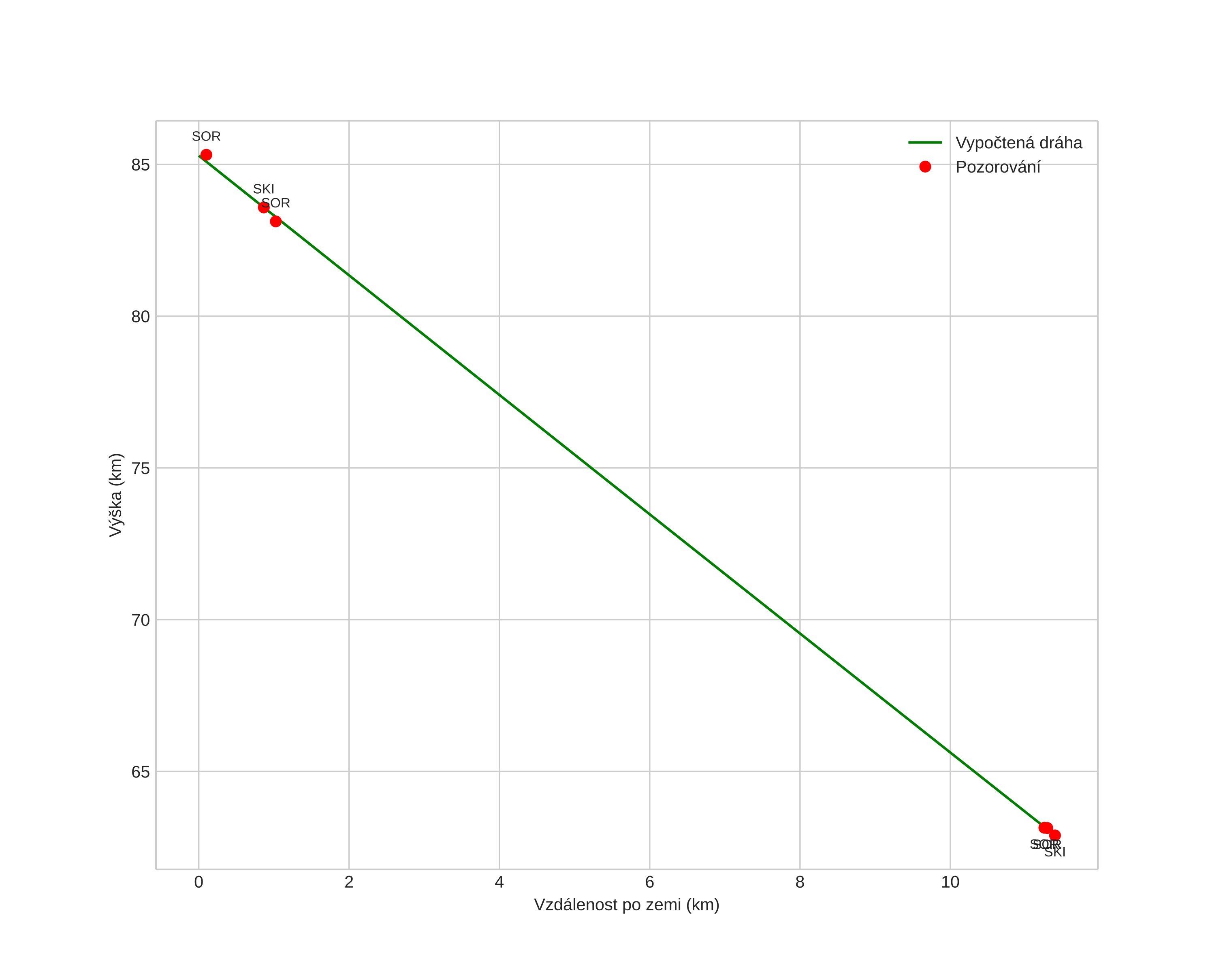
height profile
Atmosférická dráha meteoru:
Počáteční výška: 83,5 km
Konečná výška: 62,9 km
Počáteční poloha: 69,266N 19,580E
Konečná poloha: 69,355N 19,672E
Směr: 19,9°
Sklon: 63,0°
VstupnĂ­ rychlost: 17,3 km/s
Rektascenze radiantu: 23:09 (347,3°)
Deklinace radiantu: 39,0°
MeteorickĂ˝ roj: sporadickĂ˝
Elementy dráhy meteoroidu:
Vzdálenost v periheliu: 0,956 AU
Excentricita: 0,752
Sklon dráhy: 12,7°
Délka vzestupného uzlu: 238,6°
Argument perihelia: 202,5°
Střední anomálie: 357,8°
Epocha: 2024 NOV 20 18:46:10
orbit plot

NeinteraktivnĂ­ graf | InteraktivnĂ­ graf

position vs time
speed and acceleration