🇳🇴 🇬🇧 🇩🇪 🇨🇿 🇫🇮

Meteor Hattengin yllä 2024-11-20 18:46:10 UTC

KML-tiedosto  |  Interaktiivinen kartta

Kartta näyttää meteorin suuntahavainnot. Vaaleammat viivat näyttävät suunnat havaintoasemilta meteorin ilmestyessä, ja tummemmat viivat näyttävät, missä se viimeksi nähtiin. Sininen nuoli näyttää meteorin näkyvän lennon.

static map
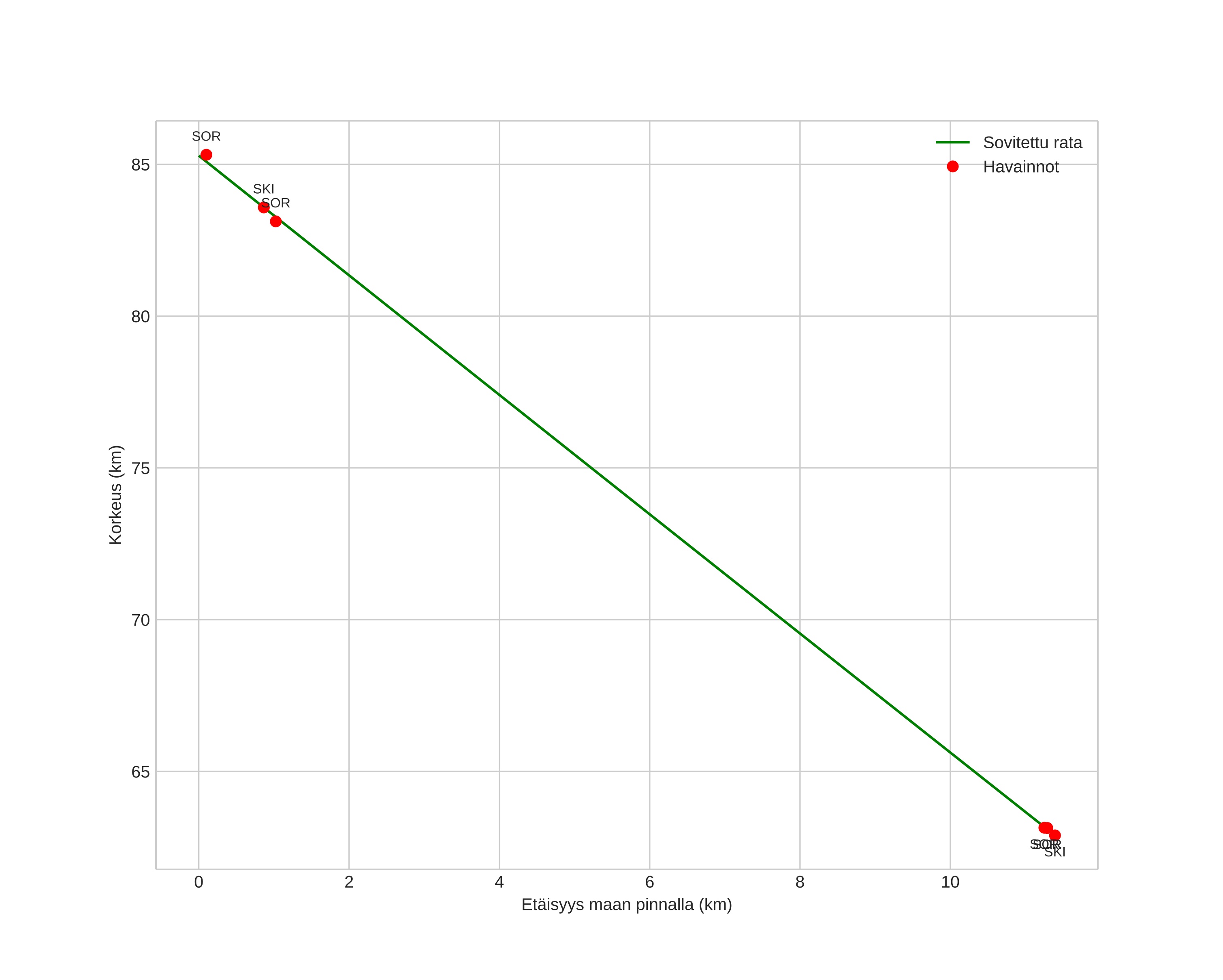
height profile
Meteorin ilmakehärata:
Alkukorkeus: 83,5 km
Loppukorkeus: 62,9 km
Alkupiste: 69,266N 19,580E
Loppupiste: 69,355N 19,672E
Suunta: 19,9°
Kallistuskulma: 63,0°
Tulonopeus: 17,3 km/s
Radiantin R,A,: 23:09 (347,3°)
Radiantin Dekl,: 39,0°
Meteoriparvi: Sporadinen
Meteoroidin rataelementit:
Perihelietäisyys: 0,956 AU
Eksentrisyys: 0,752
Inklinaatio: 12,7°
Nousevan solmun pituus: 238,6°
Perihelin argumentti: 202,5°
Keskianomalia: 357,8°
Epookki: 2024 NOV 20 18:46:10
orbit plot

Ei-interaktiivinen kuvaaja | Interaktiivinen kuvaaja

position vs time
speed and acceleration