🇳🇴 🇬🇧 🇩🇪 🇨🇿 🇫🇮

Meteor, poloha: Malung 2024-11-20 19:07:15 UTC

Soubor KML  |  InteraktivnĂ­ mapa

Mapa zobrazuje dráhy meteoru. Světlejší čáry ukazují směry od pozorovacích stanic při objevení se meteoru a tmavší čáry, kde byl naposledy viděn. Modrá šipka značí viditelnou dráhu meteoru.

static map
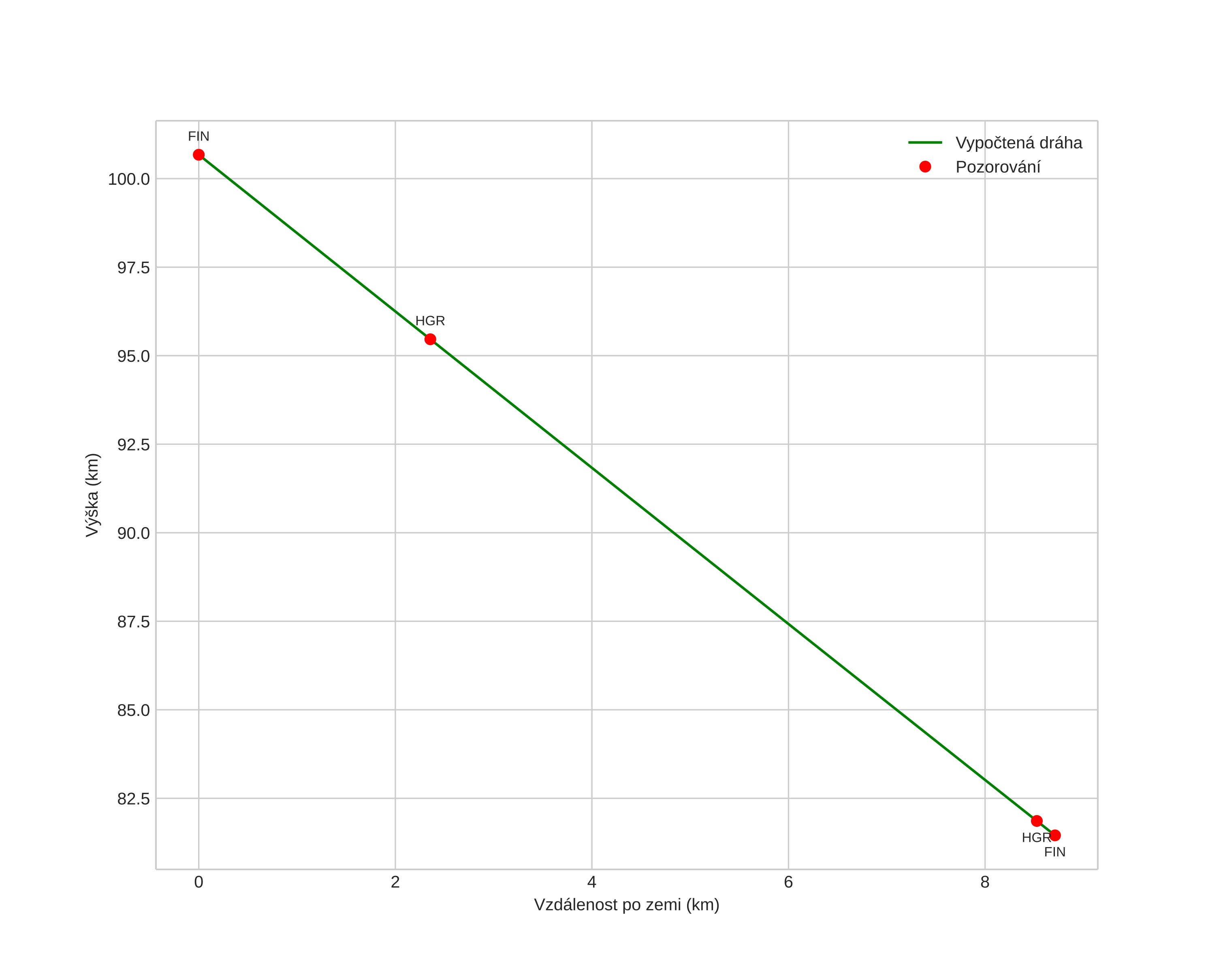
height profile
Atmosférická dráha meteoru:
Počáteční výška: 100,8 km
Konečná výška: 81,4 km
Počáteční poloha: 60,911N 13,834E
Konečná poloha: 60,859N 13,713E
Směr: 228,6°
Sklon: 65,6°
VstupnĂ­ rychlost: 37,2 km/s
Rektascenze radiantu: 03:50 (57,6°)
Deklinace radiantu: 68,2°
MeteorickĂ˝ roj: sporadickĂ˝
Elementy dráhy meteoroidu:
Vzdálenost v periheliu: 0,679 AU
Excentricita: 1,011
Sklon dráhy: 47,0°
Délka vzestupného uzlu: 238,6°
Argument perihelia: 247,8°
Střední anomálie: -0,1°
Epocha: 2024 NOV 20 19:07:15
orbit plot

NeinteraktivnĂ­ graf | InteraktivnĂ­ graf

position vs time
speed and acceleration