🇳🇴 🇬🇧 🇩🇪 🇨🇿 🇫🇮

Meteor Malungin yllä 2024-11-20 19:07:15 UTC

KML-tiedosto  |  Interaktiivinen kartta

Kartta näyttää meteorin suuntahavainnot. Vaaleammat viivat näyttävät suunnat havaintoasemilta meteorin ilmestyessä, ja tummemmat viivat näyttävät, missä se viimeksi nähtiin. Sininen nuoli näyttää meteorin näkyvän lennon.

static map
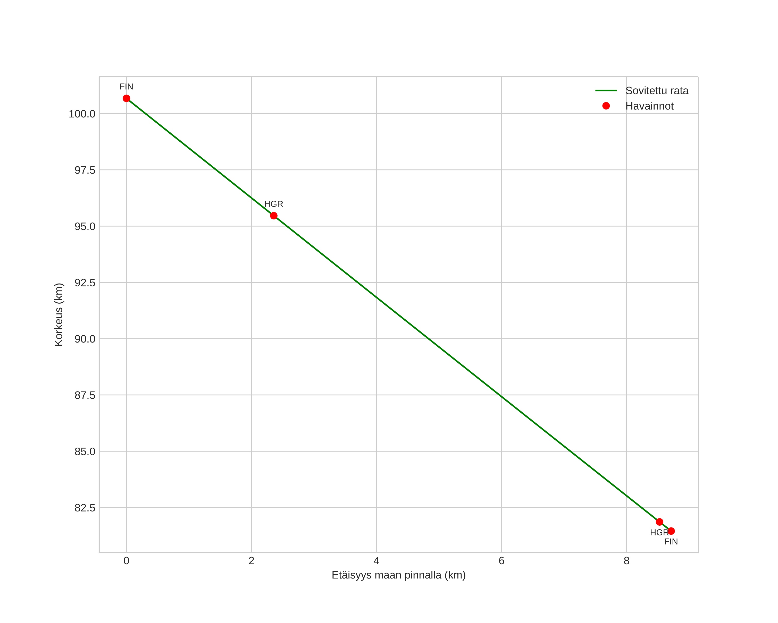
height profile
Meteorin ilmakehärata:
Alkukorkeus: 100,8 km
Loppukorkeus: 81,4 km
Alkupiste: 60,911N 13,834E
Loppupiste: 60,859N 13,713E
Suunta: 228,6°
Kallistuskulma: 65,6°
Tulonopeus: 37,2 km/s
Radiantin R,A,: 03:50 (57,6°)
Radiantin Dekl,: 68,2°
Meteoriparvi: Sporadinen
Meteoroidin rataelementit:
Perihelietäisyys: 0,679 AU
Eksentrisyys: 1,011
Inklinaatio: 47,0°
Nousevan solmun pituus: 238,6°
Perihelin argumentti: 247,8°
Keskianomalia: -0,1°
Epookki: 2024 NOV 20 19:07:15
orbit plot

Ei-interaktiivinen kuvaaja | Interaktiivinen kuvaaja

position vs time
speed and acceleration