🇳🇴 🇬🇧 🇩🇪 🇨🇿 🇫🇮

Meteor, poloha: Treungen 2024-11-20 20:47:32 UTC

Soubor KML  |  InteraktivnĂ­ mapa

Mapa zobrazuje dráhy meteoru. Světlejší čáry ukazují směry od pozorovacích stanic při objevení se meteoru a tmavší čáry, kde byl naposledy viděn. Modrá šipka značí viditelnou dráhu meteoru.

static map
height profile
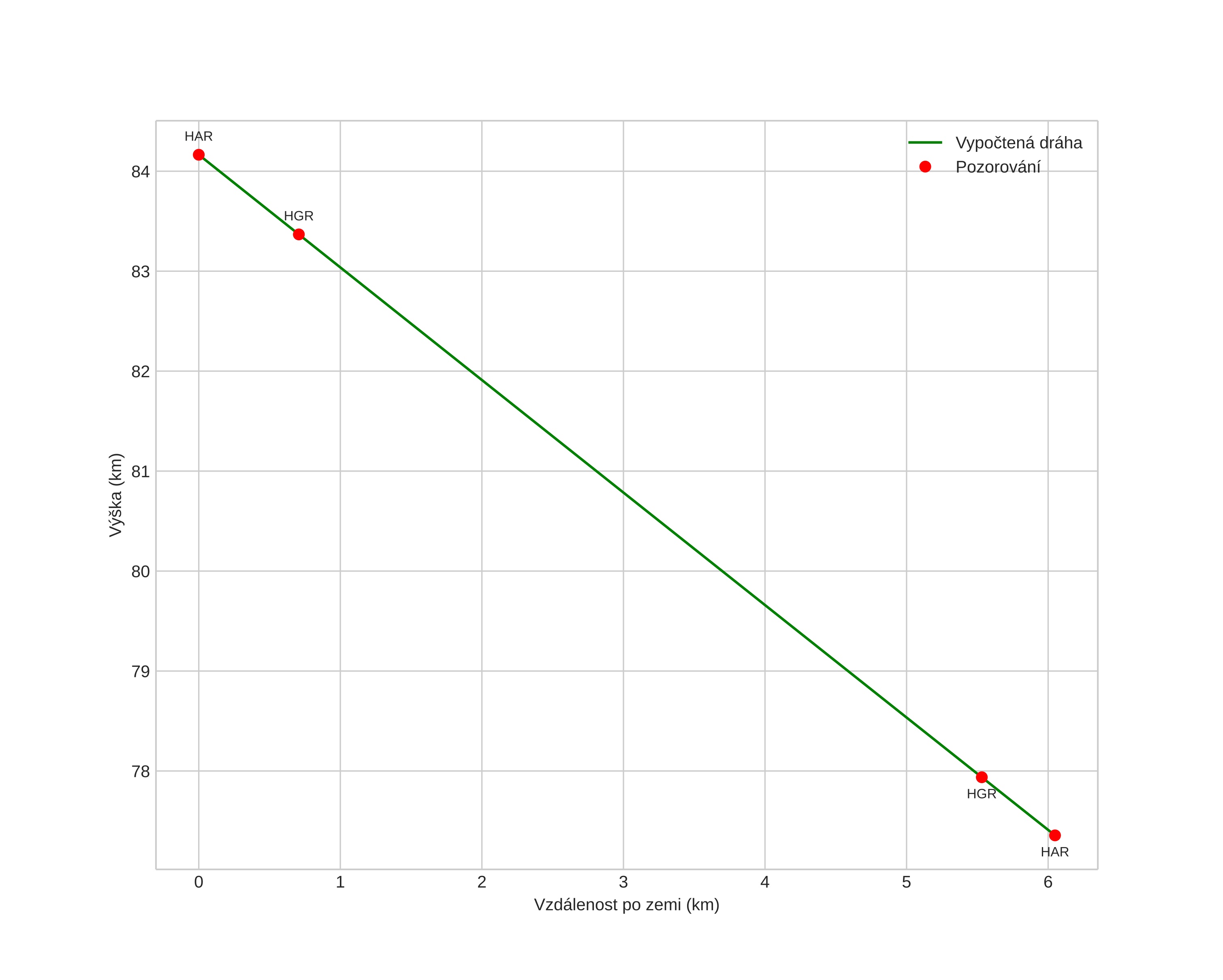
Atmosférická dráha meteoru:
Počáteční výška: 84,2 km
Konečná výška: 77,3 km
Počáteční poloha: 59,144N 8,452E
Konečná poloha: 59,183N 8,380E
Směr: 317,4°
Sklon: 49,0°
VstupnĂ­ rychlost: 28,1 km/s
Rektascenze radiantu: 03:17 (49,5°)
Deklinace radiantu: 21,8°
MeteorickĂ˝ roj: sporadickĂ˝
Elementy dráhy meteoroidu:
Vzdálenost v periheliu: 0,603 AU
Excentricita: 0,963
Sklon dráhy: 2,7°
Délka vzestupného uzlu: 238,6°
Argument perihelia: 258,2°
Střední anomálie: 359,4°
Epocha: 2024 NOV 20 20:47:32
orbit plot

NeinteraktivnĂ­ graf | InteraktivnĂ­ graf

position vs time
speed and acceleration