🇳🇴 🇬🇧 🇩🇪 🇨🇿 🇫🇮

Meteor über Treungen 2024-11-20 20:47:32 UTC

KML-Datei  |  Interaktive Karte

Die Karte zeigt die Peilungen für den Meteor. Die helleren Linien zeigen die Richtungen von den Beobachtungsorten beim Erscheinen des Meteors, und die dunkleren Linien, wo er zuletzt gesehen wurde. Der blaue Pfeil zeigt die sichtbare Bahn des Meteors.

static map
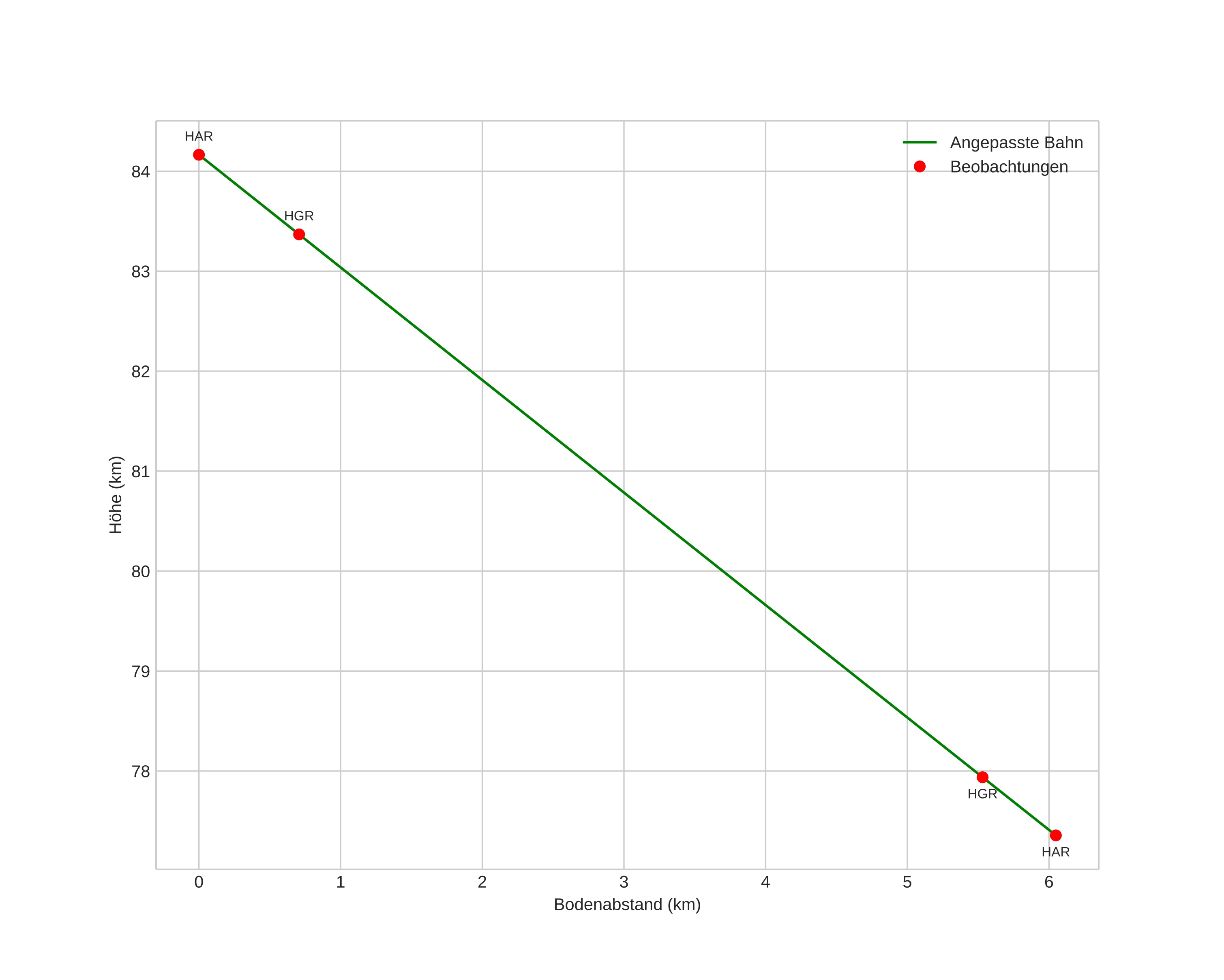
height profile
Atmosphärische Bahn des Meteors:
Anfangshöhe: 84,2 km
Endhöhe: 77,3 km
Startposition: 59,144N 8,452E
Endposition: 59,183N 8,380E
Richtung: 317,4°
Neigungswinkel: 49,0°
Eintrittsgeschwindigkeit: 28,1 km/s
Rektaszension des Radianten: 03:17 (49,5°)
Deklination des Radianten: 21,8°
Meteorstrom: sporadisch
Bahnelemente des Meteoroiden:
Periheldistanz: 0,603 AU
Exzentrizität: 0,963
Inklination: 2,7°
Länge des aufsteigenden Knotens: 238,6°
Argument des Perihels: 258,2°
Mittlere Anomalie: 359,4°
Epoche: 2024 NOV 20 20:47:32
orbit plot

Nicht-interaktives Diagramm | Interaktives Diagramm

position vs time
speed and acceleration

Hagar (HGR) cam5


gnomonic
Videos
• Gnomonisch
• Gnomonisch mit Koordinaten
• Original
• Original mit Koordinaten
Bilder
• Gnomonisch
• Gnomonisch mit Koordinaten
• Gnomonisch mit Beschriftungen
• Unkorrigiert gnomonisch mit Beschriftungen
• Original
• Original mit Koordinaten
Textdateien
• Erkennung
• Beobachtung
• Koordinaten
• Protokoll
Helligkeit