🇳🇴 🇬🇧 🇩🇪 🇨🇿 🇫🇮

Meteor, poloha: Nesoddtangen 2024-11-21 01:08:19 UTC

Soubor KML  |  InteraktivnĂ­ mapa

Mapa zobrazuje dráhy meteoru. Světlejší čáry ukazují směry od pozorovacích stanic při objevení se meteoru a tmavší čáry, kde byl naposledy viděn. Modrá šipka značí viditelnou dráhu meteoru.

static map
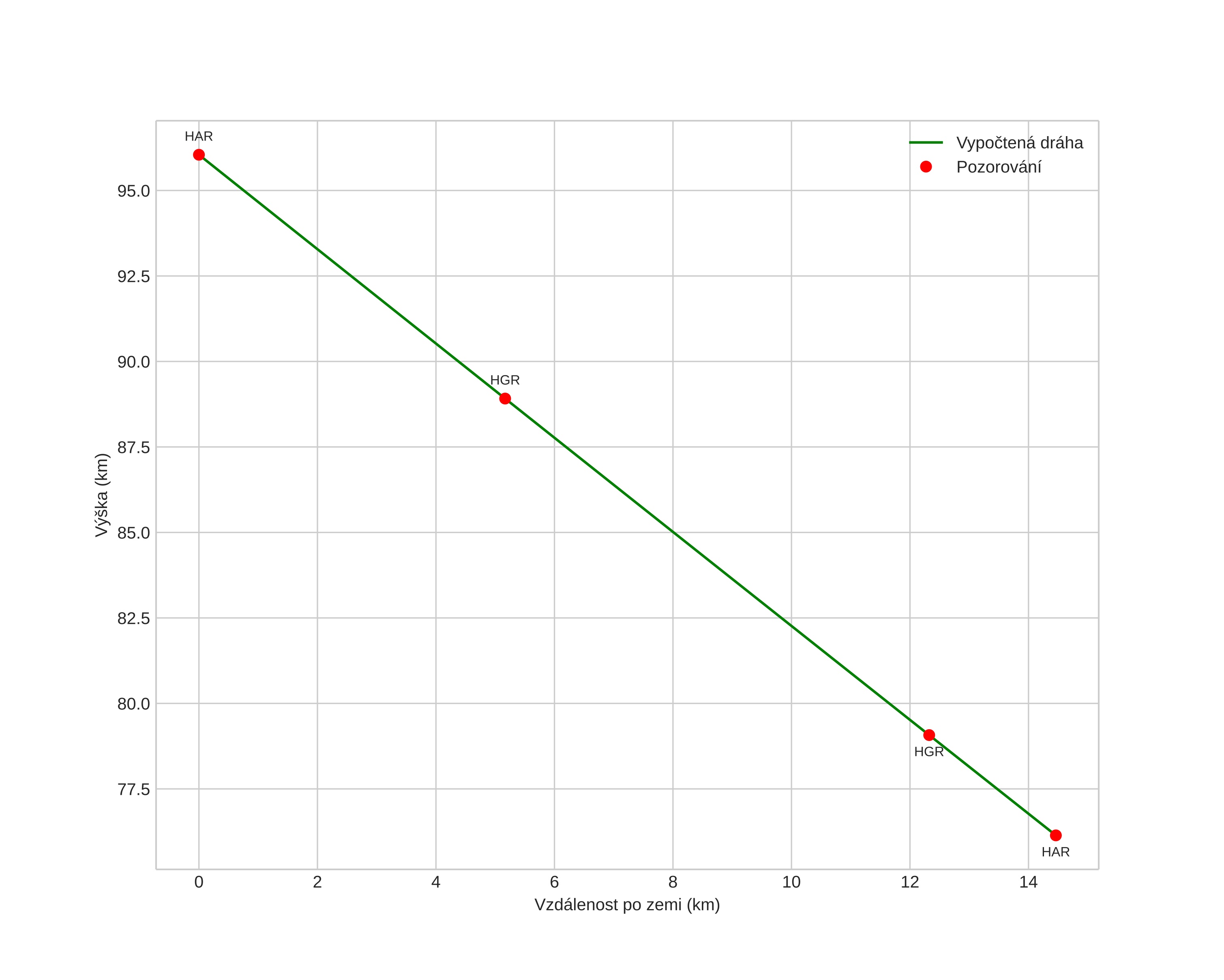
height profile
Atmosférická dráha meteoru:
Počáteční výška: 94,8 km
Konečná výška: 75,5 km
Počáteční poloha: 59,736N 10,493E
Konečná poloha: 59,841N 10,638E
Směr: 34,7°
Sklon: 53,5°
VstupnĂ­ rychlost: 28,2 km/s
Rektascenze radiantu: 04:17 (64,4°)
Deklinace radiantu: 24,9°
MeteorickĂ˝ roj: SevernĂ­ Tauridy
Elementy dráhy meteoroidu:
Vzdálenost v periheliu: 0,431 AU
Excentricita: 0,800
Sklon dráhy: 3,4°
Délka vzestupného uzlu: 238,8°
Argument perihelia: 285,6°
Střední anomálie: 346,4°
Epocha: 2024 NOV 21 01:08:19
orbit plot

NeinteraktivnĂ­ graf | InteraktivnĂ­ graf

position vs time
speed and acceleration