🇳🇴 🇬🇧 🇩🇪 🇨🇿 🇫🇮

Meteor Nesoddtangenin yllä 2024-11-21 01:08:19 UTC

KML-tiedosto  |  Interaktiivinen kartta

Kartta näyttää meteorin suuntahavainnot. Vaaleammat viivat näyttävät suunnat havaintoasemilta meteorin ilmestyessä, ja tummemmat viivat näyttävät, missä se viimeksi nähtiin. Sininen nuoli näyttää meteorin näkyvän lennon.

static map
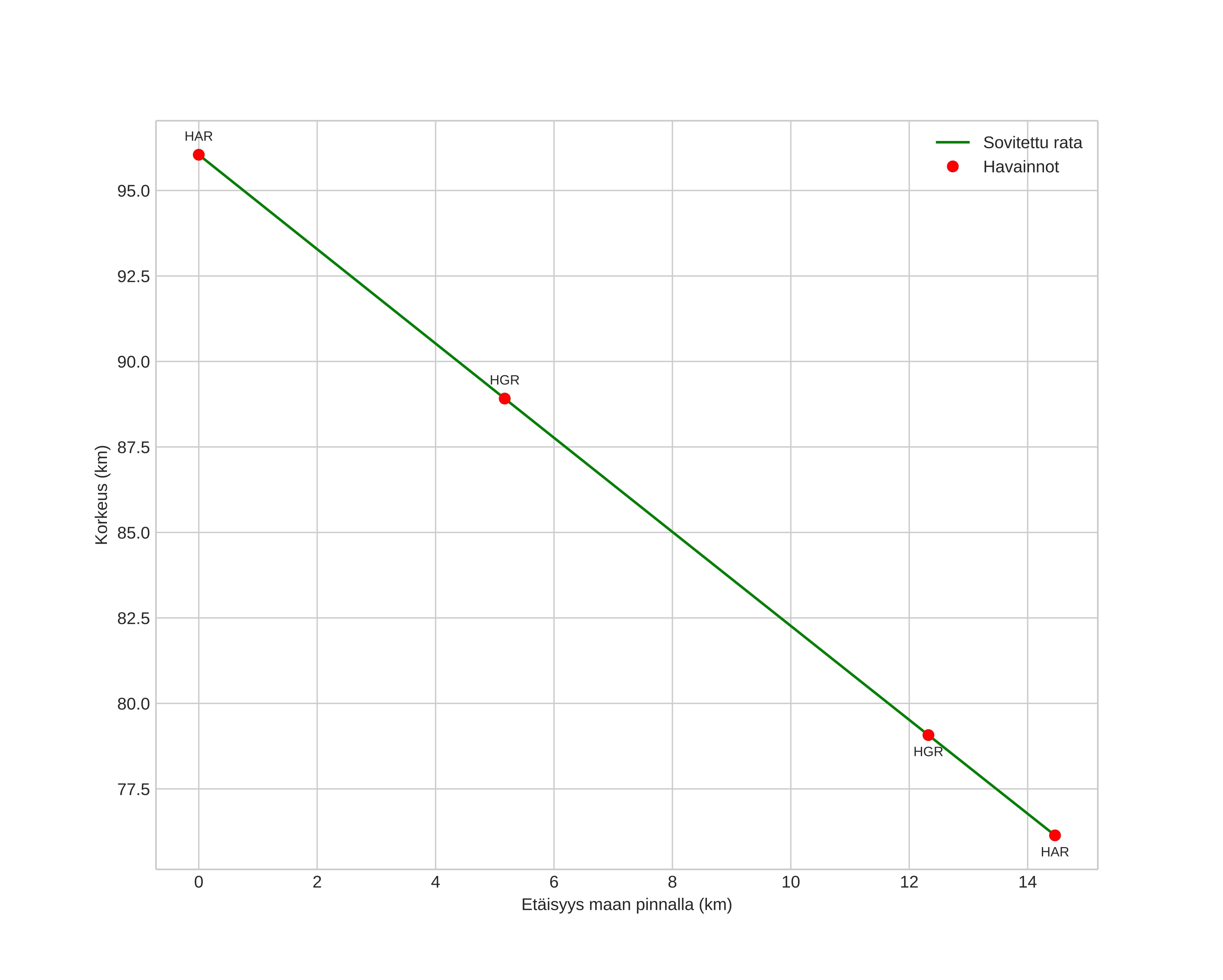
height profile
Meteorin ilmakehärata:
Alkukorkeus: 94,8 km
Loppukorkeus: 75,5 km
Alkupiste: 59,736N 10,493E
Loppupiste: 59,841N 10,638E
Suunta: 34,7°
Kallistuskulma: 53,5°
Tulonopeus: 28,2 km/s
Radiantin R,A,: 04:17 (64,4°)
Radiantin Dekl,: 24,9°
Meteoriparvi: Pohjoiset tauridit
Meteoroidin rataelementit:
Perihelietäisyys: 0,431 AU
Eksentrisyys: 0,800
Inklinaatio: 3,4°
Nousevan solmun pituus: 238,8°
Perihelin argumentti: 285,6°
Keskianomalia: 346,4°
Epookki: 2024 NOV 21 01:08:19
orbit plot

Ei-interaktiivinen kuvaaja | Interaktiivinen kuvaaja

position vs time
speed and acceleration