🇳🇴 🇬🇧 🇩🇪 🇨🇿 🇫🇮

Meteor, poloha: Måløy 2024-11-21 01:50:32 UTC

Soubor KML  |  InteraktivnĂ­ mapa

Mapa zobrazuje dráhy meteoru. Světlejší čáry ukazují směry od pozorovacích stanic při objevení se meteoru a tmavší čáry, kde byl naposledy viděn. Modrá šipka značí viditelnou dráhu meteoru.

static map
height profile
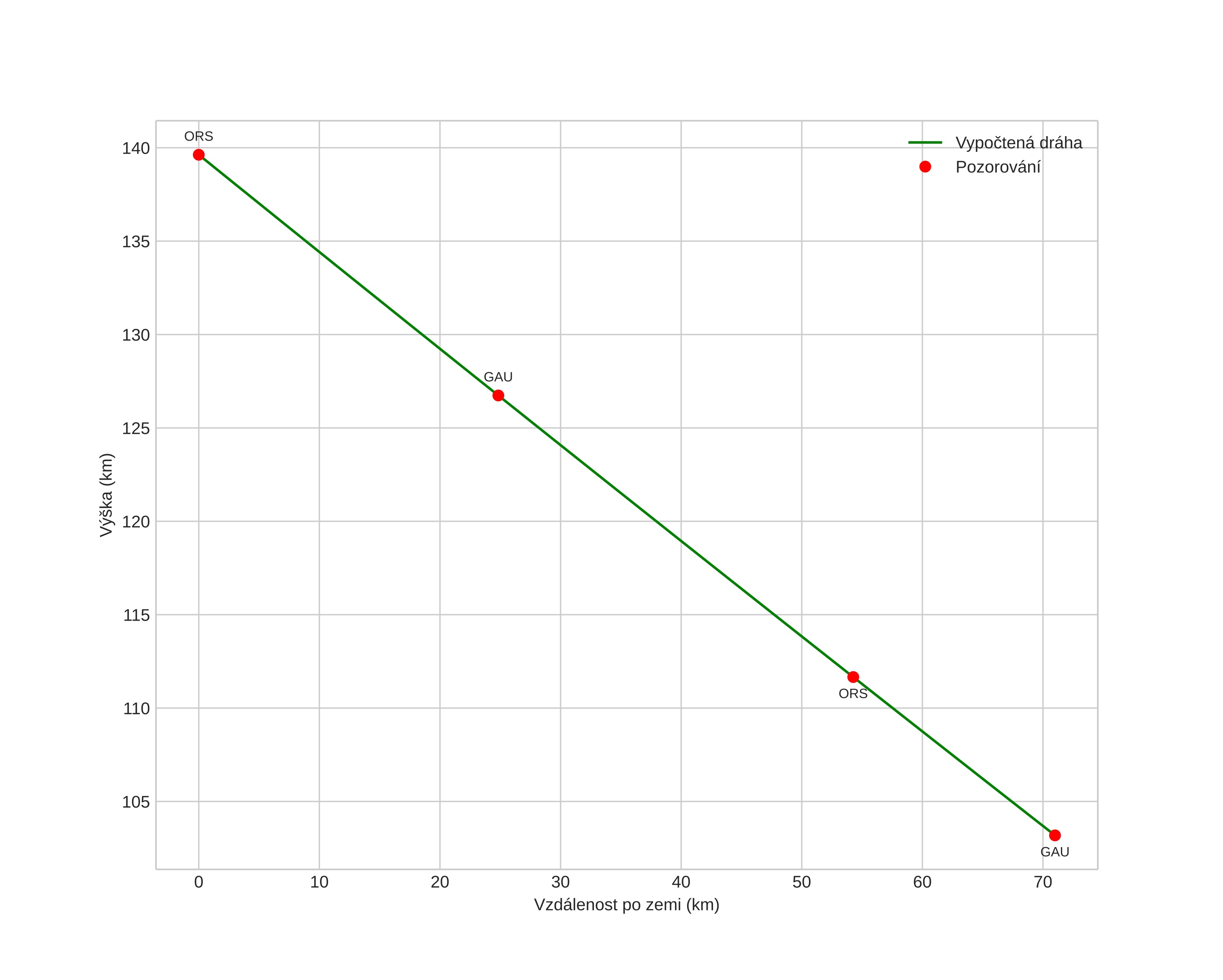
Atmosférická dráha meteoru:
Počáteční výška: 138,4 km
Konečná výška: 103,8 km
Počáteční poloha: 63,749N 3,209E
Konečná poloha: 63,917N 1,821E
Směr: 286,0°
Sklon: 26,1°
VstupnĂ­ rychlost: 58,8 km/s
Rektascenze radiantu: 10:21 (155,4°)
Deklinace radiantu: 16,2°
MeteorickĂ˝ roj: Leonidy
Elementy dráhy meteoroidu:
Vzdálenost v periheliu: 0,723 AU
Excentricita: 0,163
Sklon dráhy: 168,4°
Délka vzestupného uzlu: 238,9°
Argument perihelia: 23,5°
Střední anomálie: 148,2°
Epocha: 2024 NOV 21 01:50:32
orbit plot

NeinteraktivnĂ­ graf | InteraktivnĂ­ graf

position vs time
speed and acceleration