🇳🇴 🇬🇧 🇩🇪 🇨🇿 🇫🇮

Meteor Måløyn yllä 2024-11-21 01:50:32 UTC

KML-tiedosto  |  Interaktiivinen kartta

Kartta näyttää meteorin suuntahavainnot. Vaaleammat viivat näyttävät suunnat havaintoasemilta meteorin ilmestyessä, ja tummemmat viivat näyttävät, missä se viimeksi nähtiin. Sininen nuoli näyttää meteorin näkyvän lennon.

static map
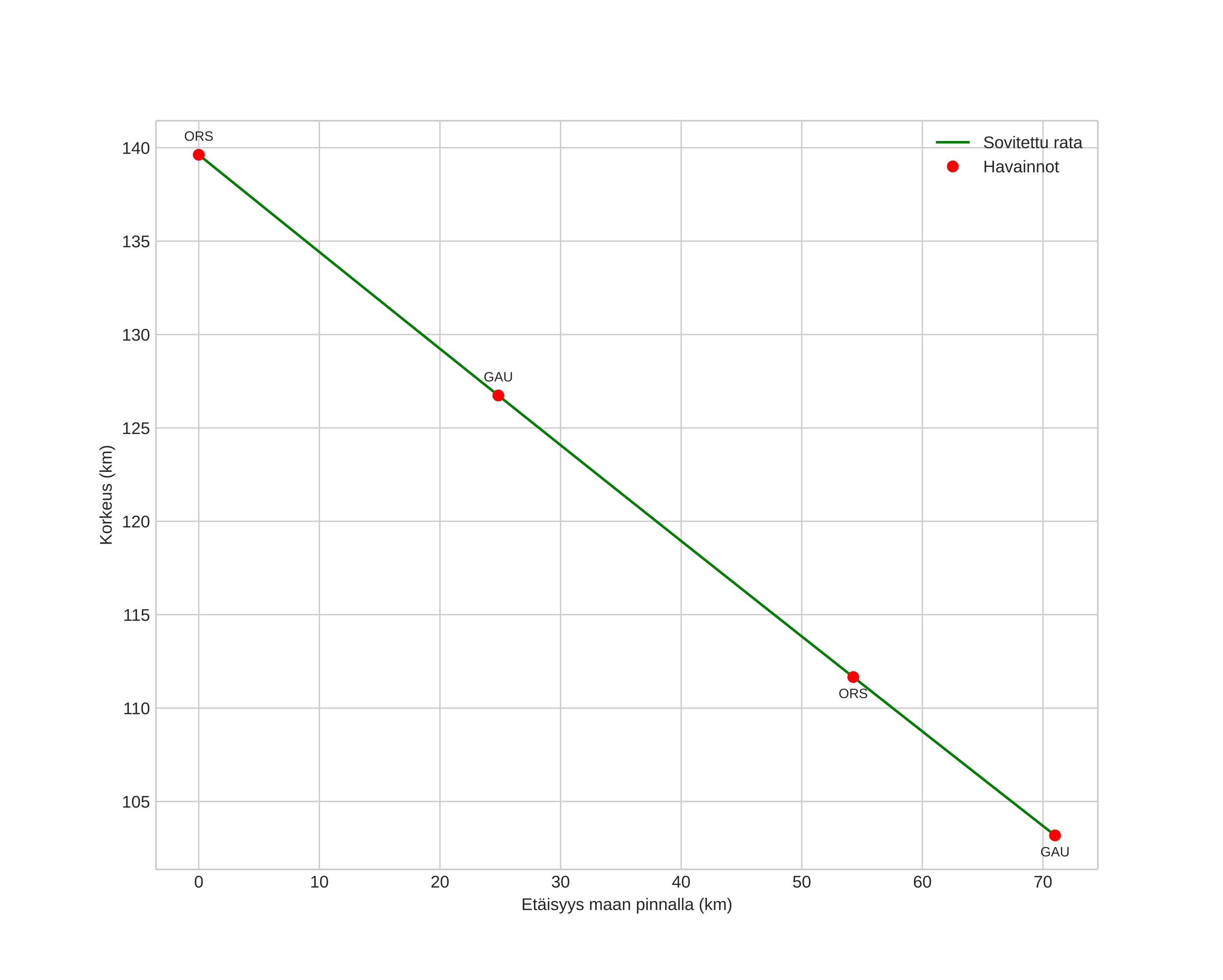
height profile
Meteorin ilmakehärata:
Alkukorkeus: 138,4 km
Loppukorkeus: 103,8 km
Alkupiste: 63,749N 3,209E
Loppupiste: 63,917N 1,821E
Suunta: 286,0°
Kallistuskulma: 26,1°
Tulonopeus: 58,8 km/s
Radiantin R,A,: 10:21 (155,4°)
Radiantin Dekl,: 16,2°
Meteoriparvi: Leonidit
Meteoroidin rataelementit:
Perihelietäisyys: 0,723 AU
Eksentrisyys: 0,163
Inklinaatio: 168,4°
Nousevan solmun pituus: 238,9°
Perihelin argumentti: 23,5°
Keskianomalia: 148,2°
Epookki: 2024 NOV 21 01:50:32
orbit plot

Ei-interaktiivinen kuvaaja | Interaktiivinen kuvaaja

position vs time
speed and acceleration