🇳🇴 🇬🇧 🇩🇪 🇨🇿 🇫🇮

Meteor, poloha: Innbygda 2024-11-21 20:07:40 UTC

Soubor KML  |  InteraktivnĂ­ mapa

Mapa zobrazuje dráhy meteoru. Světlejší čáry ukazují směry od pozorovacích stanic při objevení se meteoru a tmavší čáry, kde byl naposledy viděn. Modrá šipka značí viditelnou dráhu meteoru.

static map
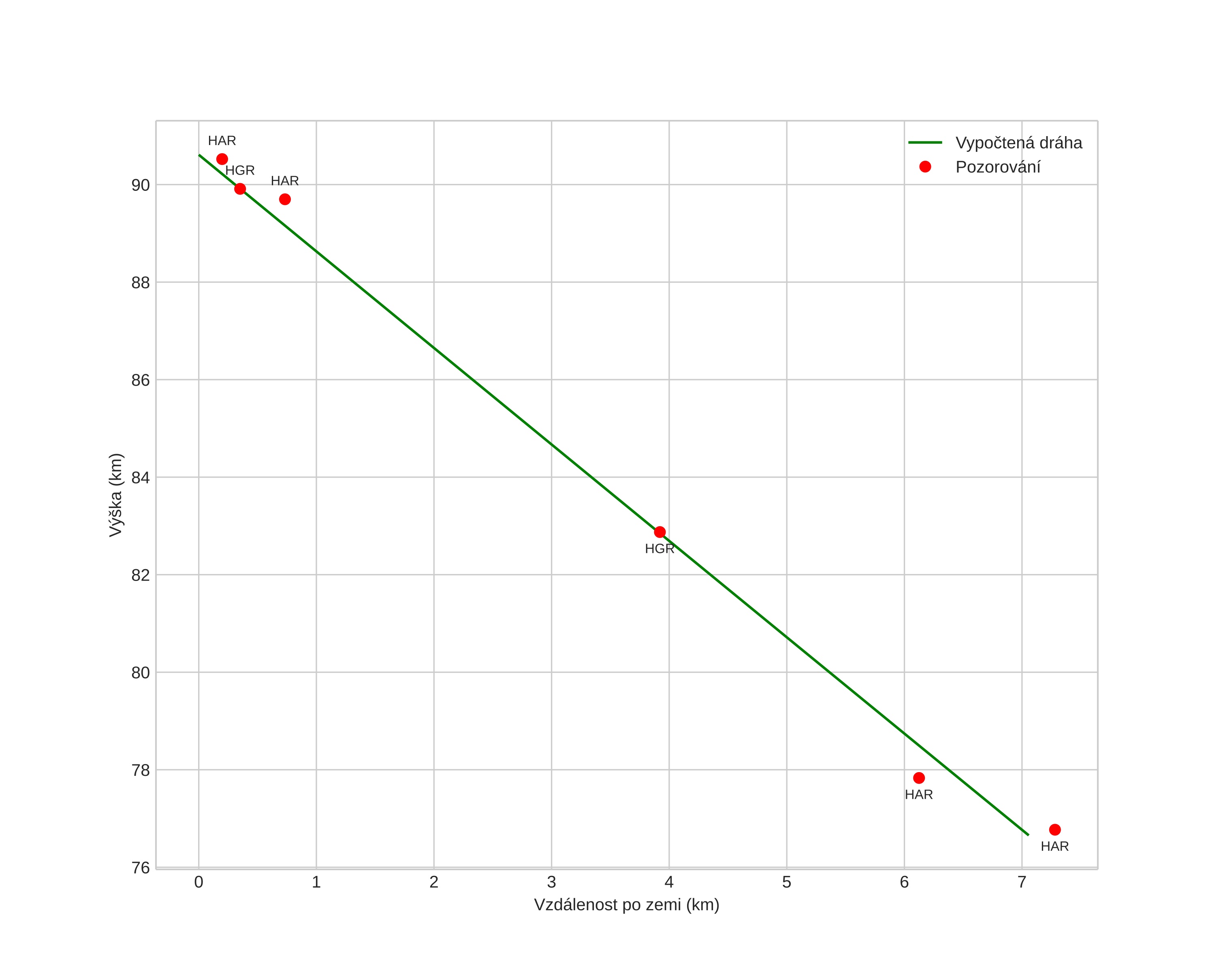
height profile
Atmosférická dráha meteoru:
Počáteční výška: 95,1 km
Konečná výška: 79,0 km
Počáteční poloha: 61,002N 12,191E
Konečná poloha: 61,060N 12,100E
Směr: 322,7°
Sklon: 63,3°
VstupnĂ­ rychlost: 20,0 km/s
Rektascenze radiantu: 02:21 (35,3°)
Deklinace radiantu: 35,0°
MeteorickĂ˝ roj: sporadickĂ˝
Elementy dráhy meteoroidu:
Vzdálenost v periheliu: 0,784 AU
Excentricita: 0,681
Sklon dráhy: 9,3°
Délka vzestupného uzlu: 239,6°
Argument perihelia: 240,6°
Střední anomálie: 350,1°
Epocha: 2024 NOV 21 20:07:40
orbit plot

NeinteraktivnĂ­ graf | InteraktivnĂ­ graf

position vs time
speed and acceleration