🇳🇴 🇬🇧 🇩🇪 🇨🇿 🇫🇮

Meteor Innbygdan yllä 2024-11-21 20:07:40 UTC

KML-tiedosto  |  Interaktiivinen kartta

Kartta näyttää meteorin suuntahavainnot. Vaaleammat viivat näyttävät suunnat havaintoasemilta meteorin ilmestyessä, ja tummemmat viivat näyttävät, missä se viimeksi nähtiin. Sininen nuoli näyttää meteorin näkyvän lennon.

static map
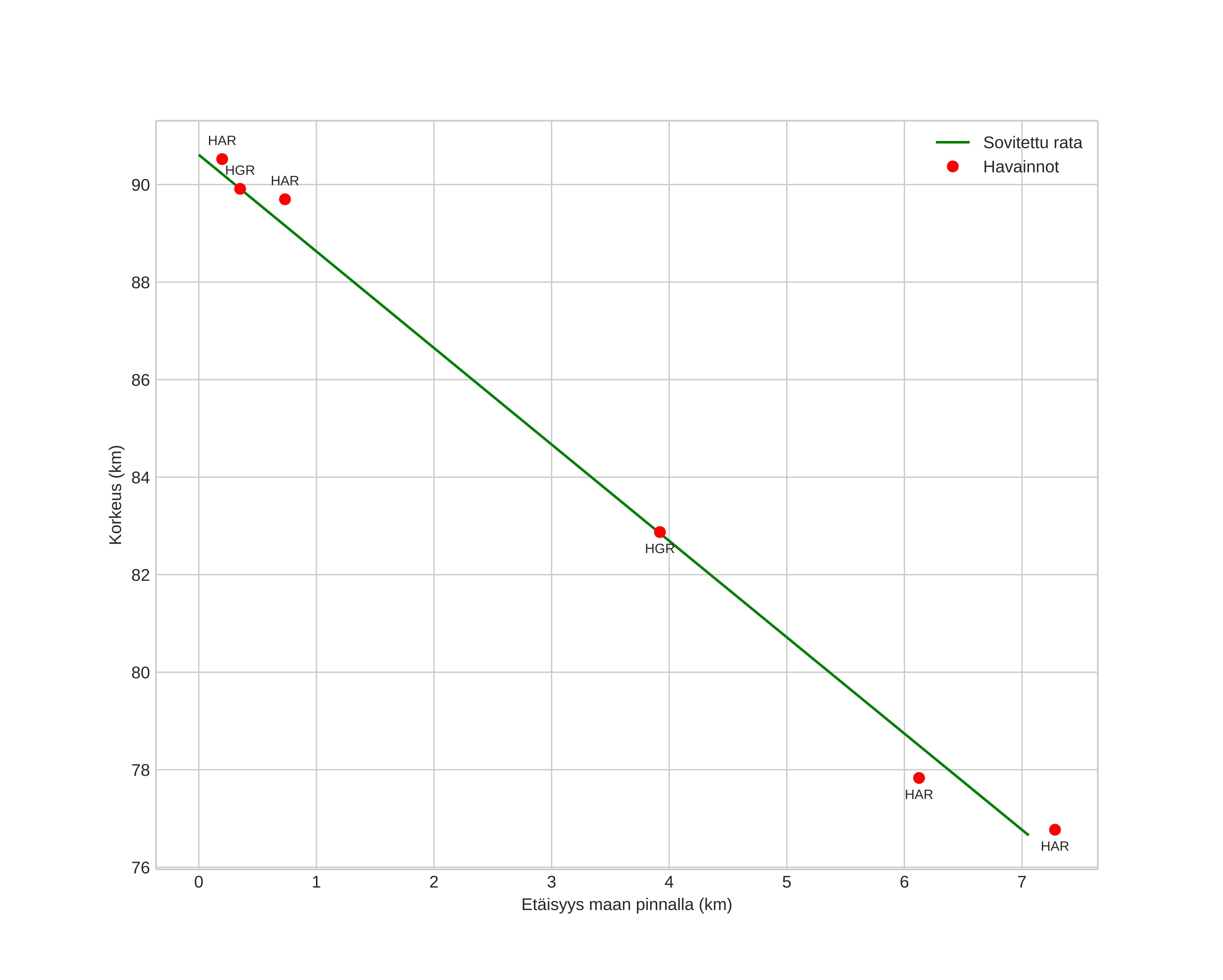
height profile
Meteorin ilmakehärata:
Alkukorkeus: 95,1 km
Loppukorkeus: 79,0 km
Alkupiste: 61,002N 12,191E
Loppupiste: 61,060N 12,100E
Suunta: 322,7°
Kallistuskulma: 63,3°
Tulonopeus: 20,0 km/s
Radiantin R,A,: 02:21 (35,3°)
Radiantin Dekl,: 35,0°
Meteoriparvi: Sporadinen
Meteoroidin rataelementit:
Perihelietäisyys: 0,784 AU
Eksentrisyys: 0,681
Inklinaatio: 9,3°
Nousevan solmun pituus: 239,6°
Perihelin argumentti: 240,6°
Keskianomalia: 350,1°
Epookki: 2024 NOV 21 20:07:40
orbit plot

Ei-interaktiivinen kuvaaja | Interaktiivinen kuvaaja

position vs time
speed and acceleration