🇳🇴 🇬🇧 🇩🇪 🇨🇿 🇫🇮

Meteor, poloha: Løten 2024-11-21 20:38:07 UTC

Soubor KML  |  InteraktivnĂ­ mapa

Mapa zobrazuje dráhy meteoru. Světlejší čáry ukazují směry od pozorovacích stanic při objevení se meteoru a tmavší čáry, kde byl naposledy viděn. Modrá šipka značí viditelnou dráhu meteoru.

static map
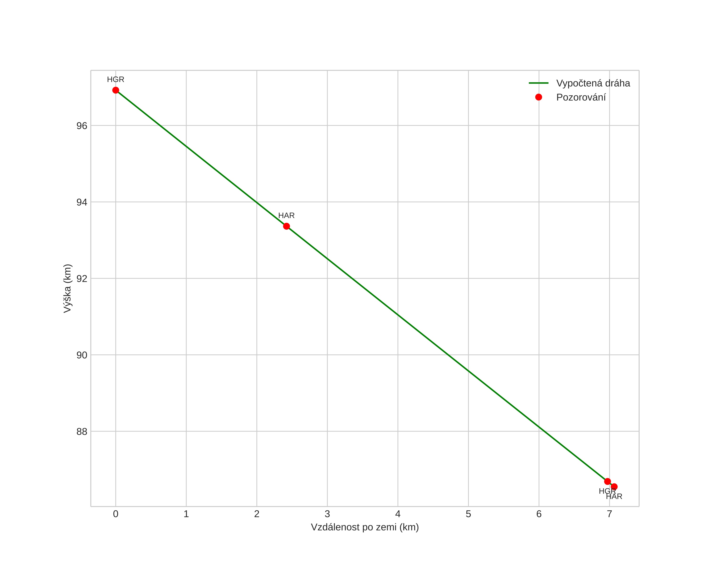
height profile
Atmosférická dráha meteoru:
Počáteční výška: 95,3 km
Konečná výška: 86,5 km
Počáteční poloha: 61,015N 11,097E
Konečná poloha: 60,983N 11,191E
Směr: 124,9°
Sklon: 54,9°
VstupnĂ­ rychlost: 20,0 km/s
Rektascenze radiantu: 19:58 (299,5°)
Deklinace radiantu: 58,4°
MeteorickĂ˝ roj: sporadickĂ˝
Elementy dráhy meteoroidu:
Vzdálenost v periheliu: 0,986 AU
Excentricita: 0,625
Sklon dráhy: 25,1°
Délka vzestupného uzlu: 239,7°
Argument perihelia: 185,3°
Střední anomálie: 359,0°
Epocha: 2024 NOV 21 20:38:07
orbit plot

NeinteraktivnĂ­ graf | InteraktivnĂ­ graf

position vs time
speed and acceleration