🇳🇴 🇬🇧 🇩🇪 🇨🇿 🇫🇮

Meteor Løtenin yllä 2024-11-21 20:38:07 UTC

KML-tiedosto  |  Interaktiivinen kartta

Kartta näyttää meteorin suuntahavainnot. Vaaleammat viivat näyttävät suunnat havaintoasemilta meteorin ilmestyessä, ja tummemmat viivat näyttävät, missä se viimeksi nähtiin. Sininen nuoli näyttää meteorin näkyvän lennon.

static map
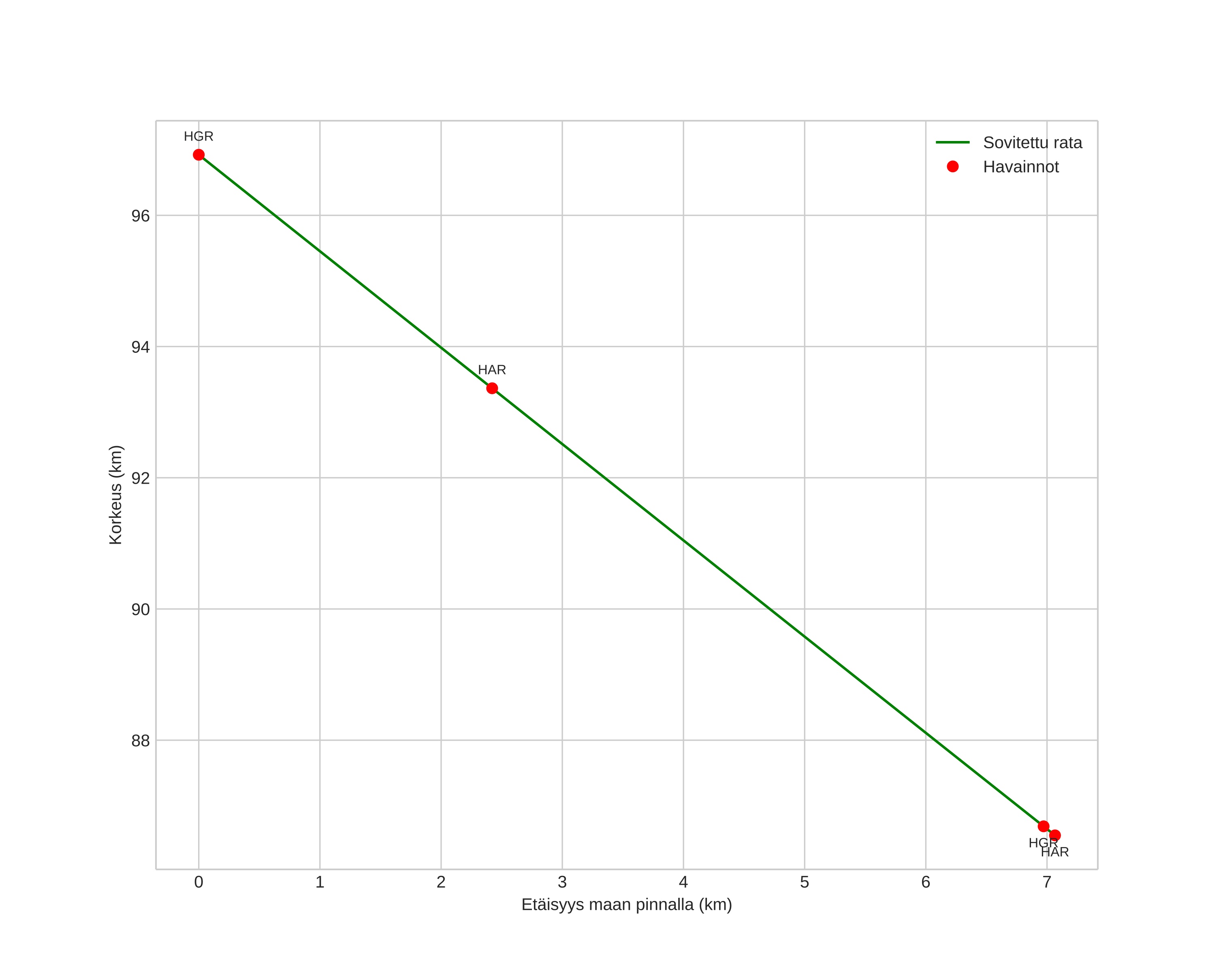
height profile
Meteorin ilmakehärata:
Alkukorkeus: 95,3 km
Loppukorkeus: 86,5 km
Alkupiste: 61,015N 11,097E
Loppupiste: 60,983N 11,191E
Suunta: 124,9°
Kallistuskulma: 54,9°
Tulonopeus: 20,0 km/s
Radiantin R,A,: 19:58 (299,5°)
Radiantin Dekl,: 58,4°
Meteoriparvi: Sporadinen
Meteoroidin rataelementit:
Perihelietäisyys: 0,986 AU
Eksentrisyys: 0,625
Inklinaatio: 25,1°
Nousevan solmun pituus: 239,7°
Perihelin argumentti: 185,3°
Keskianomalia: 359,0°
Epookki: 2024 NOV 21 20:38:07
orbit plot

Ei-interaktiivinen kuvaaja | Interaktiivinen kuvaaja

position vs time
speed and acceleration