🇳🇴 🇬🇧 🇩🇪 🇨🇿 🇫🇮

Meteor, poloha: Hokksund 2024-11-21 22:18:32 UTC

Soubor KML  |  InteraktivnĂ­ mapa

Mapa zobrazuje dráhy meteoru. Světlejší čáry ukazují směry od pozorovacích stanic při objevení se meteoru a tmavší čáry, kde byl naposledy viděn. Modrá šipka značí viditelnou dráhu meteoru.

static map
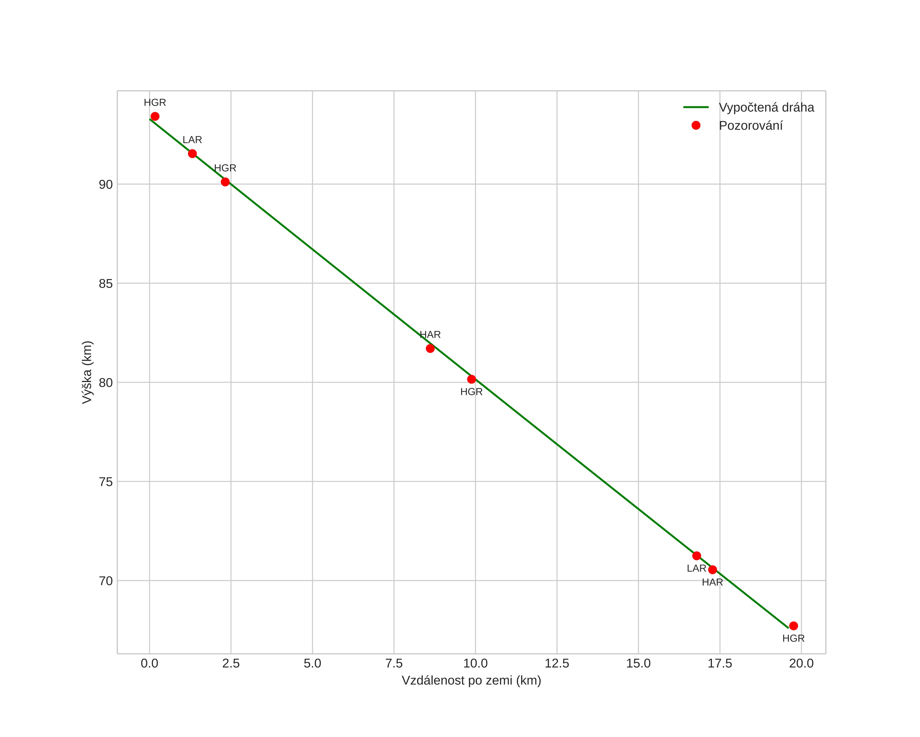
height profile
Atmosférická dráha meteoru:
Počáteční výška: 94,5 km
Konečná výška: 68,4 km
Počáteční poloha: 59,588N 10,042E
Konečná poloha: 59,740N 9,858E
Směr: 328,6°
Sklon: 52,7°
VstupnĂ­ rychlost: 29,3 km/s
Rektascenze radiantu: 04:23 (66,0°)
Deklinace radiantu: 23,6°
MeteorickĂ˝ roj: SevernĂ­ Tauridy
Elementy dráhy meteoroidu:
Vzdálenost v periheliu: 0,415 AU
Excentricita: 0,825
Sklon dráhy: 2,1°
Délka vzestupného uzlu: 239,7°
Argument perihelia: 286,5°
Střední anomálie: 348,4°
Epocha: 2024 NOV 21 22:18:32
orbit plot

NeinteraktivnĂ­ graf | InteraktivnĂ­ graf

position vs time
speed and acceleration