🇳🇴 🇬🇧 🇩🇪 🇨🇿 🇫🇮

Meteor Hokksundin yllä 2024-11-21 22:18:32 UTC

KML-tiedosto  |  Interaktiivinen kartta

Kartta näyttää meteorin suuntahavainnot. Vaaleammat viivat näyttävät suunnat havaintoasemilta meteorin ilmestyessä, ja tummemmat viivat näyttävät, missä se viimeksi nähtiin. Sininen nuoli näyttää meteorin näkyvän lennon.

static map
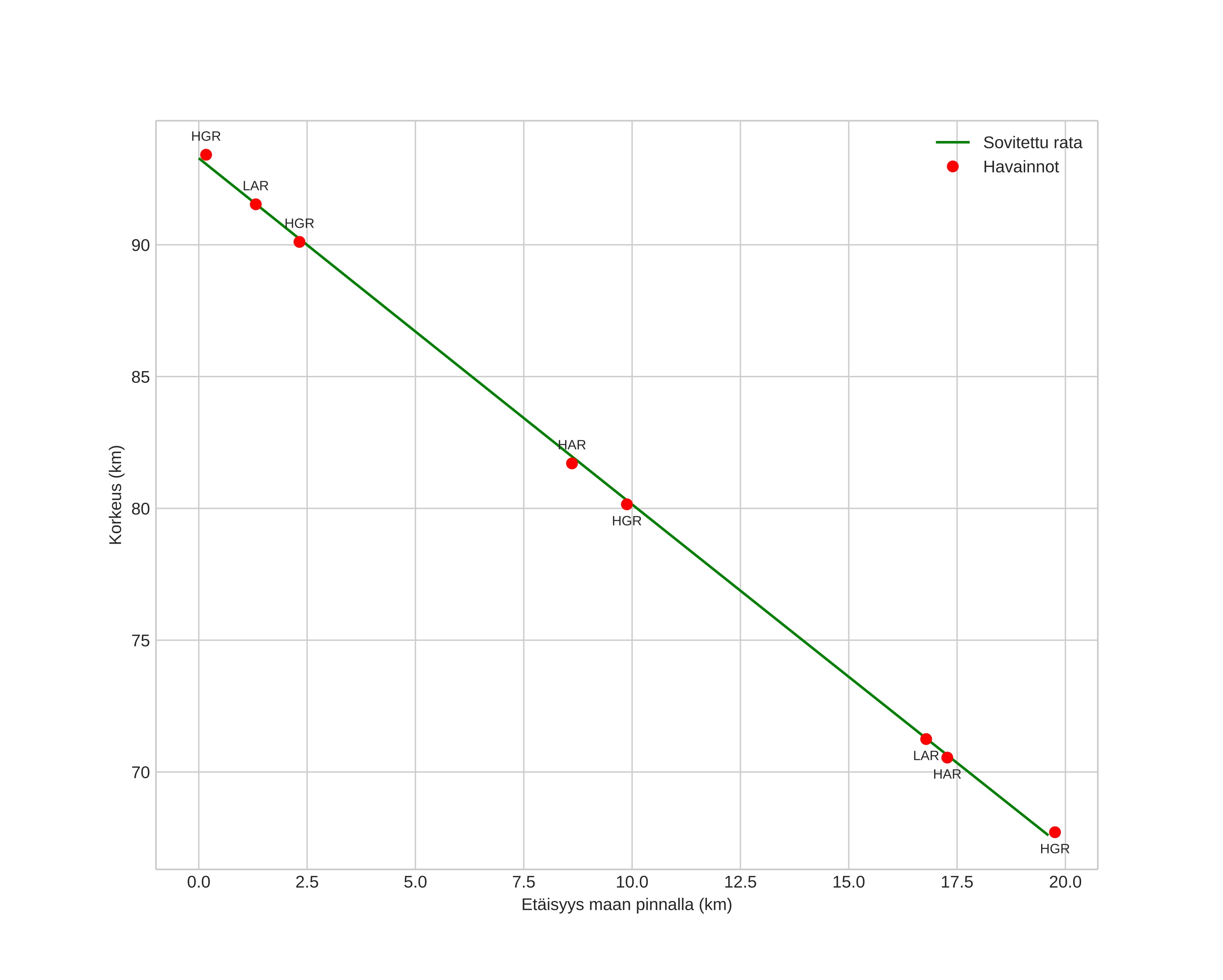
height profile
Meteorin ilmakehärata:
Alkukorkeus: 94,5 km
Loppukorkeus: 68,4 km
Alkupiste: 59,588N 10,042E
Loppupiste: 59,740N 9,858E
Suunta: 328,6°
Kallistuskulma: 52,7°
Tulonopeus: 29,3 km/s
Radiantin R,A,: 04:23 (66,0°)
Radiantin Dekl,: 23,6°
Meteoriparvi: Pohjoiset tauridit
Meteoroidin rataelementit:
Perihelietäisyys: 0,415 AU
Eksentrisyys: 0,825
Inklinaatio: 2,1°
Nousevan solmun pituus: 239,7°
Perihelin argumentti: 286,5°
Keskianomalia: 348,4°
Epookki: 2024 NOV 21 22:18:32
orbit plot

Ei-interaktiivinen kuvaaja | Interaktiivinen kuvaaja

position vs time
speed and acceleration