🇳🇴 🇬🇧 🇩🇪 🇨🇿 🇫🇮

Meteor, poloha: Munkedal 2024-11-21 23:56:34 UTC

Soubor KML  |  InteraktivnĂ­ mapa

Mapa zobrazuje dráhy meteoru. Světlejší čáry ukazují směry od pozorovacích stanic při objevení se meteoru a tmavší čáry, kde byl naposledy viděn. Modrá šipka značí viditelnou dráhu meteoru.

static map
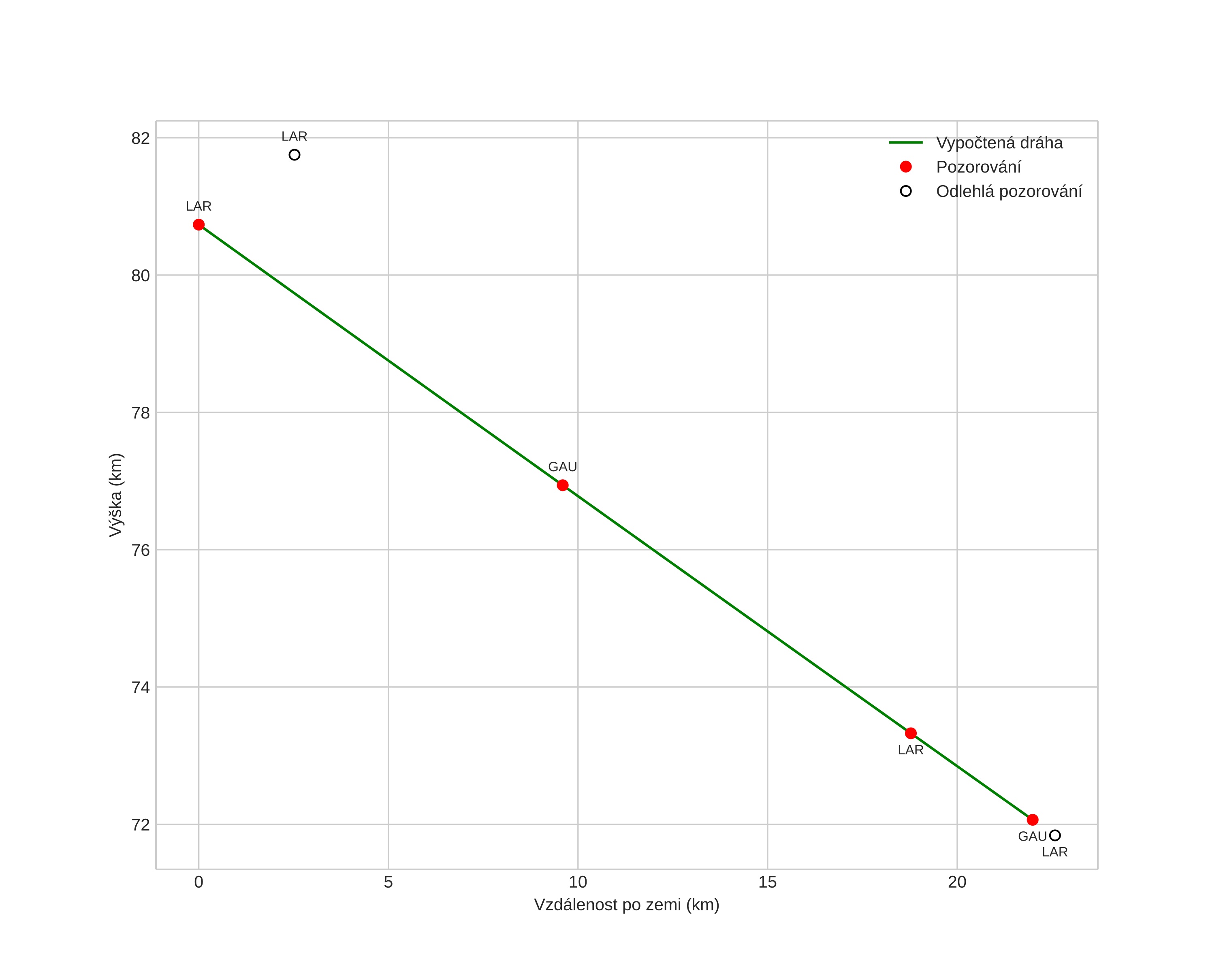
height profile
Atmosférická dráha meteoru:
Počáteční výška: 80,6 km
Konečná výška: 71,4 km
Počáteční poloha: 58,866N 11,306E
Konečná poloha: 58,748N 11,653E
Směr: 123,3°
Sklon: 21,1°
VstupnĂ­ rychlost: 17,4 km/s
Rektascenze radiantu: 21:12 (318,1°)
Deklinace radiantu: 25,7°
MeteorickĂ˝ roj: sporadickĂ˝
Elementy dráhy meteoroidu:
Vzdálenost v periheliu: 0,988 AU
Excentricita: 0,924
Sklon dráhy: 12,1°
Délka vzestupného uzlu: 239,8°
Argument perihelia: 181,3°
Střední anomálie: 360,0°
Epocha: 2024 NOV 21 23:56:34
orbit plot

NeinteraktivnĂ­ graf | InteraktivnĂ­ graf

position vs time
speed and acceleration