🇳🇴 🇬🇧 🇩🇪 🇨🇿 🇫🇮

Meteor Munkedalin yllä 2024-11-21 23:56:34 UTC

KML-tiedosto  |  Interaktiivinen kartta

Kartta näyttää meteorin suuntahavainnot. Vaaleammat viivat näyttävät suunnat havaintoasemilta meteorin ilmestyessä, ja tummemmat viivat näyttävät, missä se viimeksi nähtiin. Sininen nuoli näyttää meteorin näkyvän lennon.

static map
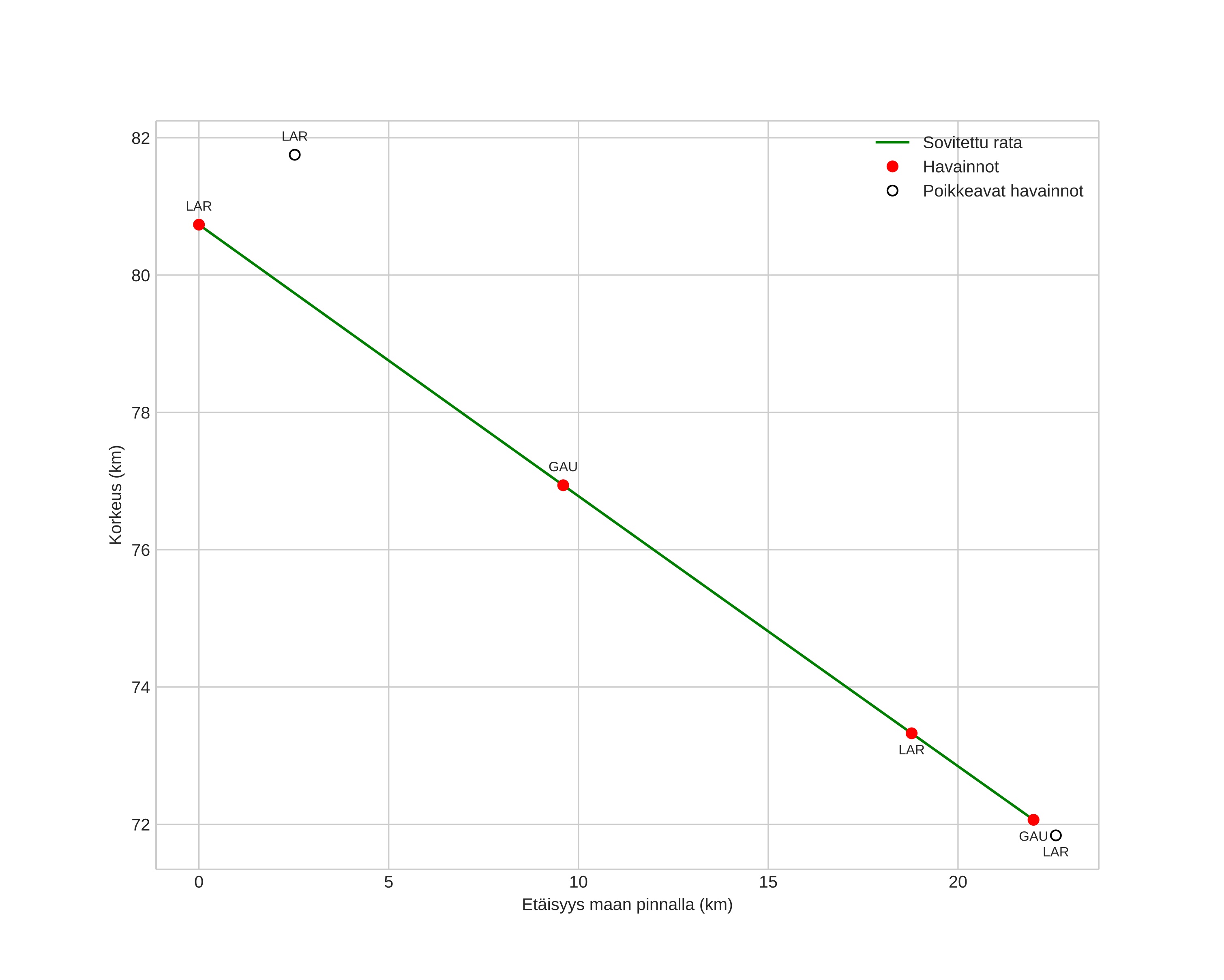
height profile
Meteorin ilmakehärata:
Alkukorkeus: 80,6 km
Loppukorkeus: 71,4 km
Alkupiste: 58,866N 11,306E
Loppupiste: 58,748N 11,653E
Suunta: 123,3°
Kallistuskulma: 21,1°
Tulonopeus: 17,4 km/s
Radiantin R,A,: 21:12 (318,1°)
Radiantin Dekl,: 25,7°
Meteoriparvi: Sporadinen
Meteoroidin rataelementit:
Perihelietäisyys: 0,988 AU
Eksentrisyys: 0,924
Inklinaatio: 12,1°
Nousevan solmun pituus: 239,8°
Perihelin argumentti: 181,3°
Keskianomalia: 360,0°
Epookki: 2024 NOV 21 23:56:34
orbit plot

Ei-interaktiivinen kuvaaja | Interaktiivinen kuvaaja

position vs time
speed and acceleration