🇳🇴 🇬🇧 🇩🇪 🇨🇿 🇫🇮

Meteor, poloha: PĂĄlsboda 2024-11-22 01:26:07 UTC

Soubor KML  |  InteraktivnĂ­ mapa

Mapa zobrazuje dráhy meteoru. Světlejší čáry ukazují směry od pozorovacích stanic při objevení se meteoru a tmavší čáry, kde byl naposledy viděn. Modrá šipka značí viditelnou dráhu meteoru.

static map
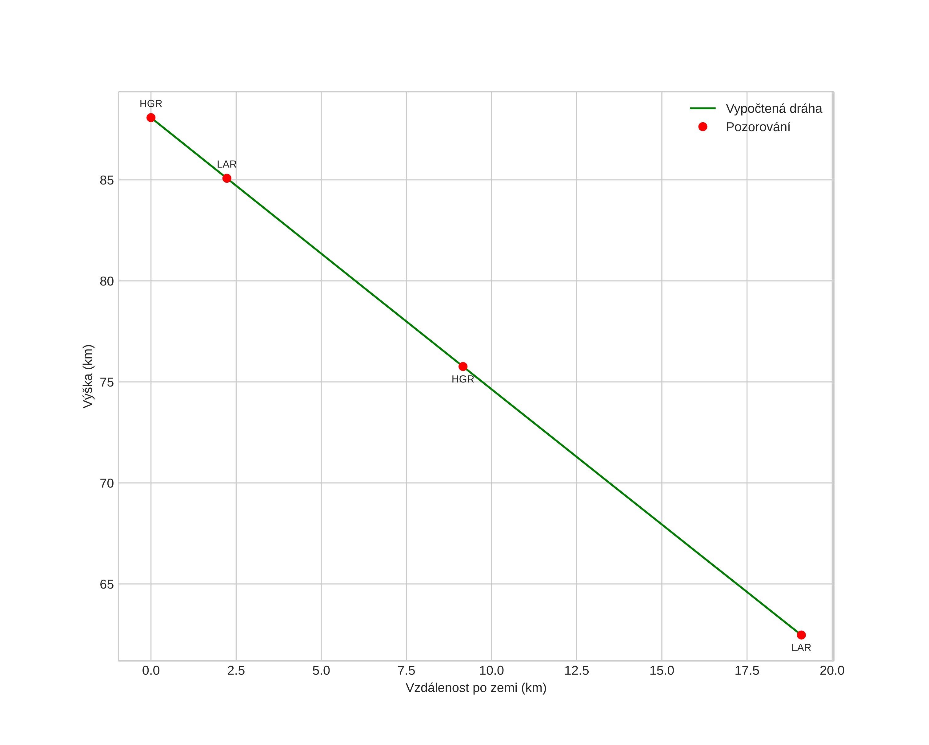
height profile
Atmosférická dráha meteoru:
Počáteční výška: 88,6 km
Konečná výška: 61,8 km
Počáteční poloha: 58,783N 15,204E
Konečná poloha: 58,913N 15,450E
Směr: 44,1°
Sklon: 53,0°
VstupnĂ­ rychlost: 32,2 km/s
Rektascenze radiantu: 04:34 (68,7°)
Deklinace radiantu: 26,0°
MeteorickĂ˝ roj: SevernĂ­ Tauridy
Elementy dráhy meteoroidu:
Vzdálenost v periheliu: 0,349 AU
Excentricita: 0,883
Sklon dráhy: 4,9°
Délka vzestupného uzlu: 239,9°
Argument perihelia: 292,3°
Střední anomálie: 352,3°
Epocha: 2024 NOV 22 01:26:07
orbit plot

NeinteraktivnĂ­ graf | InteraktivnĂ­ graf

position vs time
speed and acceleration