🇳🇴 🇬🇧 🇩🇪 🇨🇿 🇫🇮

Meteor Pålsbodan yllä 2024-11-22 01:26:07 UTC

KML-tiedosto  |  Interaktiivinen kartta

Kartta näyttää meteorin suuntahavainnot. Vaaleammat viivat näyttävät suunnat havaintoasemilta meteorin ilmestyessä, ja tummemmat viivat näyttävät, missä se viimeksi nähtiin. Sininen nuoli näyttää meteorin näkyvän lennon.

static map
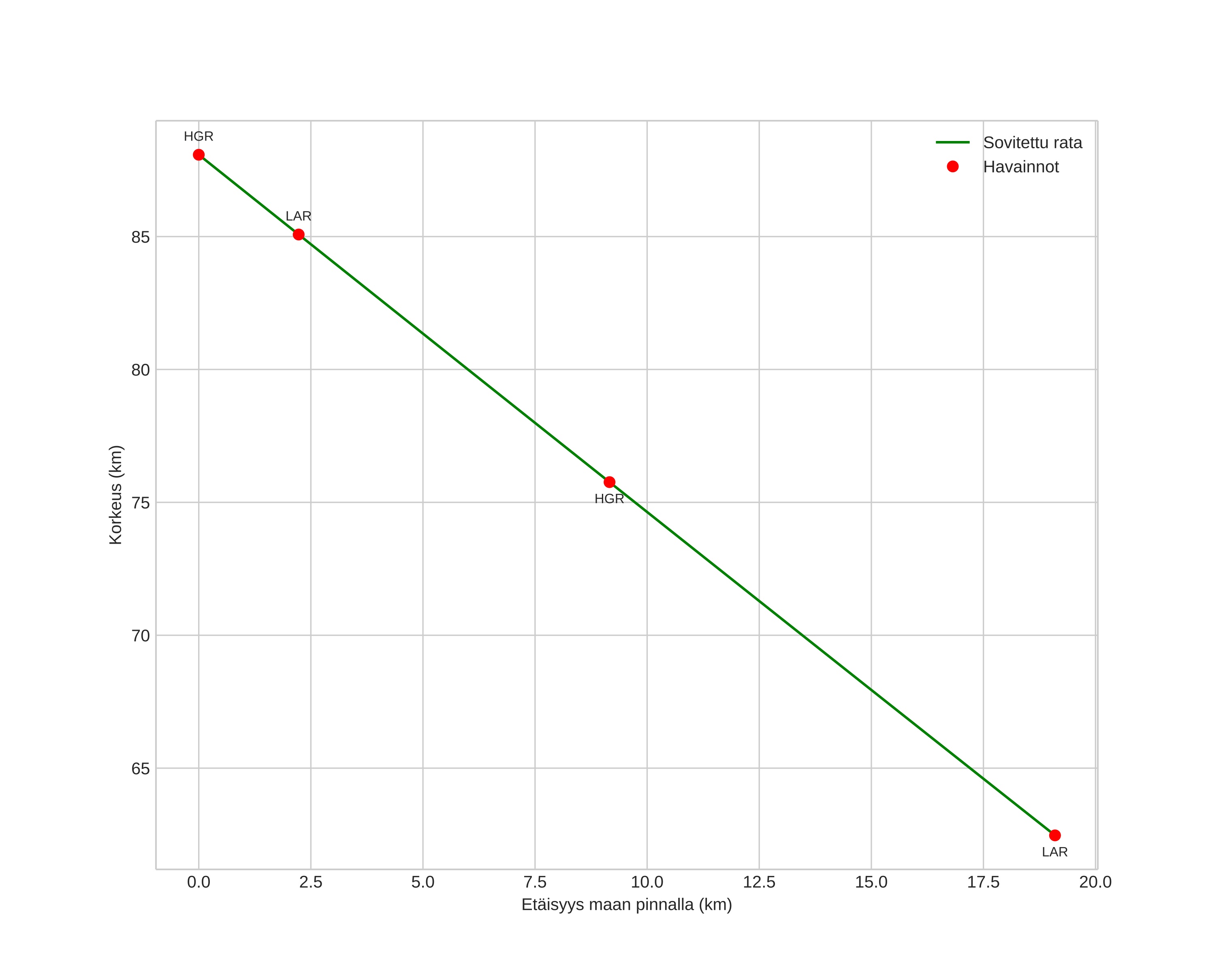
height profile
Meteorin ilmakehärata:
Alkukorkeus: 88,6 km
Loppukorkeus: 61,8 km
Alkupiste: 58,783N 15,204E
Loppupiste: 58,913N 15,450E
Suunta: 44,1°
Kallistuskulma: 53,0°
Tulonopeus: 32,2 km/s
Radiantin R,A,: 04:34 (68,7°)
Radiantin Dekl,: 26,0°
Meteoriparvi: Pohjoiset tauridit
Meteoroidin rataelementit:
Perihelietäisyys: 0,349 AU
Eksentrisyys: 0,883
Inklinaatio: 4,9°
Nousevan solmun pituus: 239,9°
Perihelin argumentti: 292,3°
Keskianomalia: 352,3°
Epookki: 2024 NOV 22 01:26:07
orbit plot

Ei-interaktiivinen kuvaaja | Interaktiivinen kuvaaja

position vs time
speed and acceleration