🇳🇴 🇬🇧 🇩🇪 🇨🇿 🇫🇮

Meteor, poloha: Brumunddal 2024-11-22 01:30:12 UTC

Soubor KML  |  InteraktivnĂ­ mapa

Mapa zobrazuje dráhy meteoru. Světlejší čáry ukazují směry od pozorovacích stanic při objevení se meteoru a tmavší čáry, kde byl naposledy viděn. Modrá šipka značí viditelnou dráhu meteoru.

static map
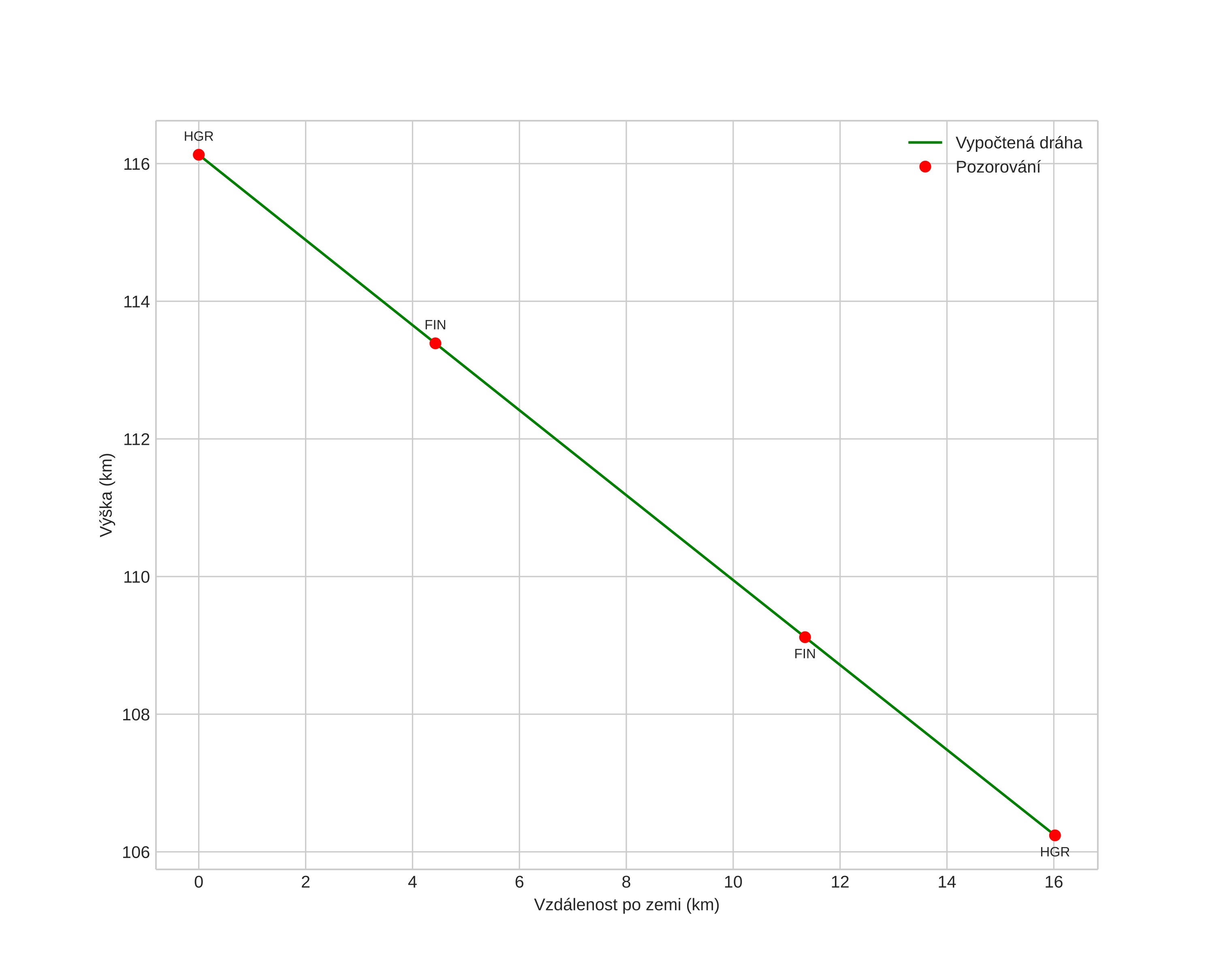
height profile
Atmosférická dráha meteoru:
Počáteční výška: 116,6 km
Konečná výška: 106,7 km
Počáteční poloha: 61,129N 11,208E
Konečná poloha: 61,165N 10,928E
Směr: 284,9°
Sklon: 32,5°
VstupnĂ­ rychlost: 73,0 km/s
Rektascenze radiantu: 10:24 (156,1°)
Deklinace radiantu: 21,2°
MeteorickĂ˝ roj: Leonidy
Elementy dráhy meteoroidu:
Vzdálenost v periheliu: 0,988 AU
Excentricita: 1,027
Sklon dráhy: 162,1°
Délka vzestupného uzlu: 239,9°
Argument perihelia: 180,4°
Střední anomálie: -0,0°
Epocha: 2024 NOV 22 01:30:12
orbit plot

NeinteraktivnĂ­ graf | InteraktivnĂ­ graf

position vs time
speed and acceleration